Постановление Агентства по тарифам Приморского края от 09.12.2024 № 54/3
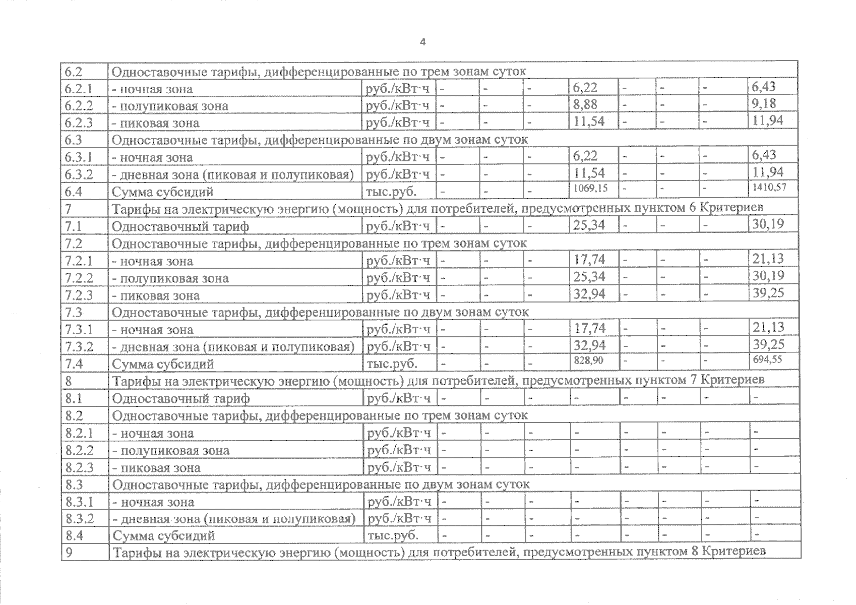
"О внесении изменений в постановление агентства по тарифам Приморского края от 25 ноября 2022 года № 65/7 "Об установлении цен (тарифов) на электрическую энергию (мощность), поставляемую КГУП "Примтеплоэнерго" (гарантирующий поставщик) покупателям Тернейского муниципального округа Приморского края на розничных рынках, расположенных на территориях, технологически не связанных с Единой энергетической системой России и технологически изолированными территориальными электроэнергетическими системами, за исключением населения и (или) приравненных к нему категорий потребителей"
(Зарегистрирован 11.12.2024 № 1836)
"О внесении изменений в постановление агентства по тарифам Приморского края от 25 ноября 2022 года № 65/7 "Об установлении цен (тарифов) на электрическую энергию (мощность), поставляемую КГУП "Примтеплоэнерго" (гарантирующий поставщик) покупателям Тернейского муниципального округа Приморского края на розничных рынках, расположенных на территориях, технологически не связанных с Единой энергетической системой России и технологически изолированными территориальными электроэнергетическими системами, за исключением населения и (или) приравненных к нему категорий потребителей"
(Зарегистрирован 11.12.2024 № 1836)
Номер опубликования: 2501202412130024
Дата опубликования:
13.12.2024
