Официальное опубликование правовых актов
ОФИЦИАЛЬНОЕ ОПУБЛИКОВАНИЕ
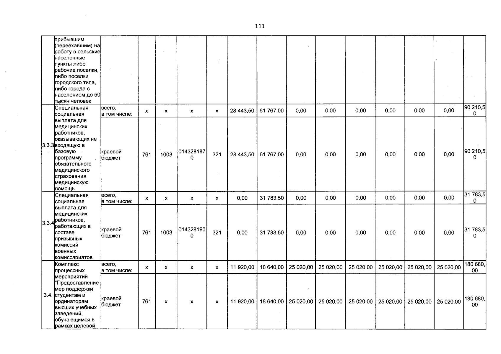
Постановление Правительства Приморского края от 10.12.2024 № 848-пп
"О внесении изменений в постановление Администрации Приморского края от 27 декабря 2019 года № 932-па "Об утверждении государственной программы Приморского края "Развитие здравоохранения Приморского края"
Номер опубликования: 2501202412130006
Дата опубликования: 13.12.2024
Страница №112 из 115:
Увеличить