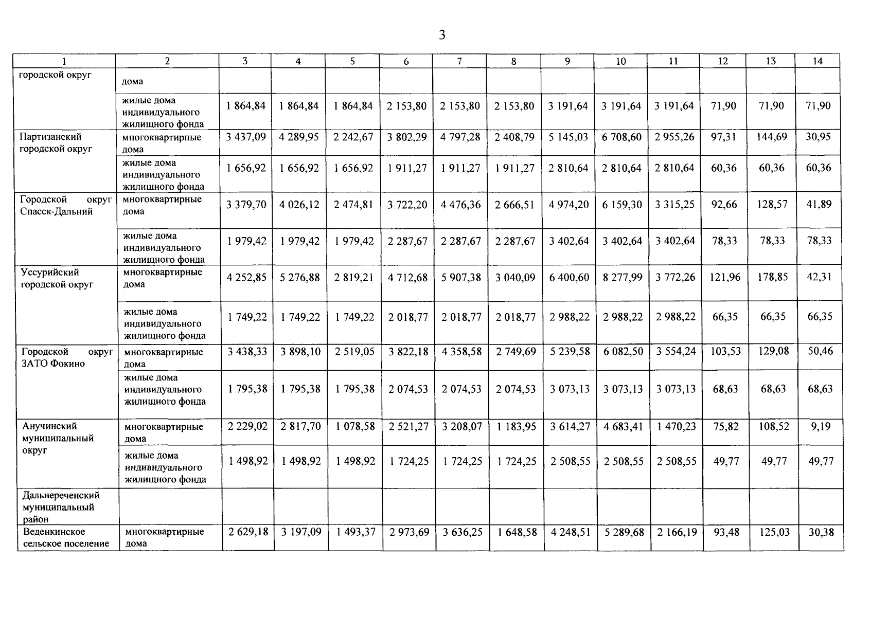
Постановление Правительства Приморского края от 06.12.2024 № 836-пп
"О внесении изменений в постановление Правительства Приморского края от 26 августа 2024 года № 610-пп "О региональных стандартах стоимости жилищно-коммунальных услуг на 2024 год"
"О внесении изменений в постановление Правительства Приморского края от 26 августа 2024 года № 610-пп "О региональных стандартах стоимости жилищно-коммунальных услуг на 2024 год"
Номер опубликования: 2501202412100004
Дата опубликования:
10.12.2024
