Официальное опубликование правовых актов
ОФИЦИАЛЬНОЕ ОПУБЛИКОВАНИЕ
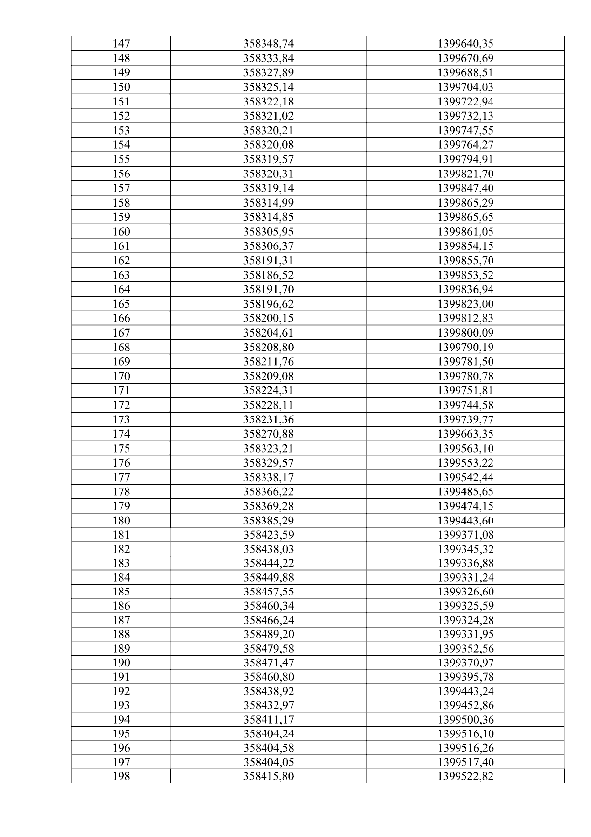
Распоряжение Министерства архитектуры и градостроительной политики Приморского края от 05.12.2024 № 75-ра
"Об утверждении проекта решения о комплексном развитии территории нежилой застройки Владивостокского городского округа, расположенной по адресу: Приморский край, г. Владивосток, в районе улицы Спортивная, общей площадью 14,77 га"
(Зарегистрирован 05.12.2024 № 1805)
Номер опубликования: 2501202412090003
Дата опубликования: 09.12.2024
Страница №39 из 64:
Увеличить