Распоряжение Министерства имущественных и земельных отношений Приморского края от 12.11.2024 № 509-ри
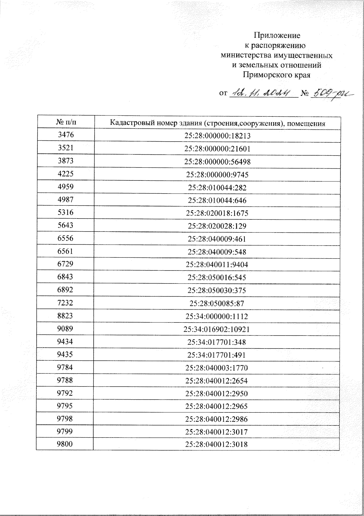
"О внесении изменений в распоряжение министерства имущественных и земельных отношений Приморского края от 27 декабря 2021 года № 742-ри "Об утверждении Перечня объектов недвижимого имущества, в отношении которых налоговая база определяется как кадастровая стоимость, на 2022 год"
(Зарегистрирован 13.11.2024 № 1703)
"О внесении изменений в распоряжение министерства имущественных и земельных отношений Приморского края от 27 декабря 2021 года № 742-ри "Об утверждении Перечня объектов недвижимого имущества, в отношении которых налоговая база определяется как кадастровая стоимость, на 2022 год"
(Зарегистрирован 13.11.2024 № 1703)
Номер опубликования: 2501202411150006
Дата опубликования:
15.11.2024
