Официальное опубликование правовых актов
ОФИЦИАЛЬНОЕ ОПУБЛИКОВАНИЕ
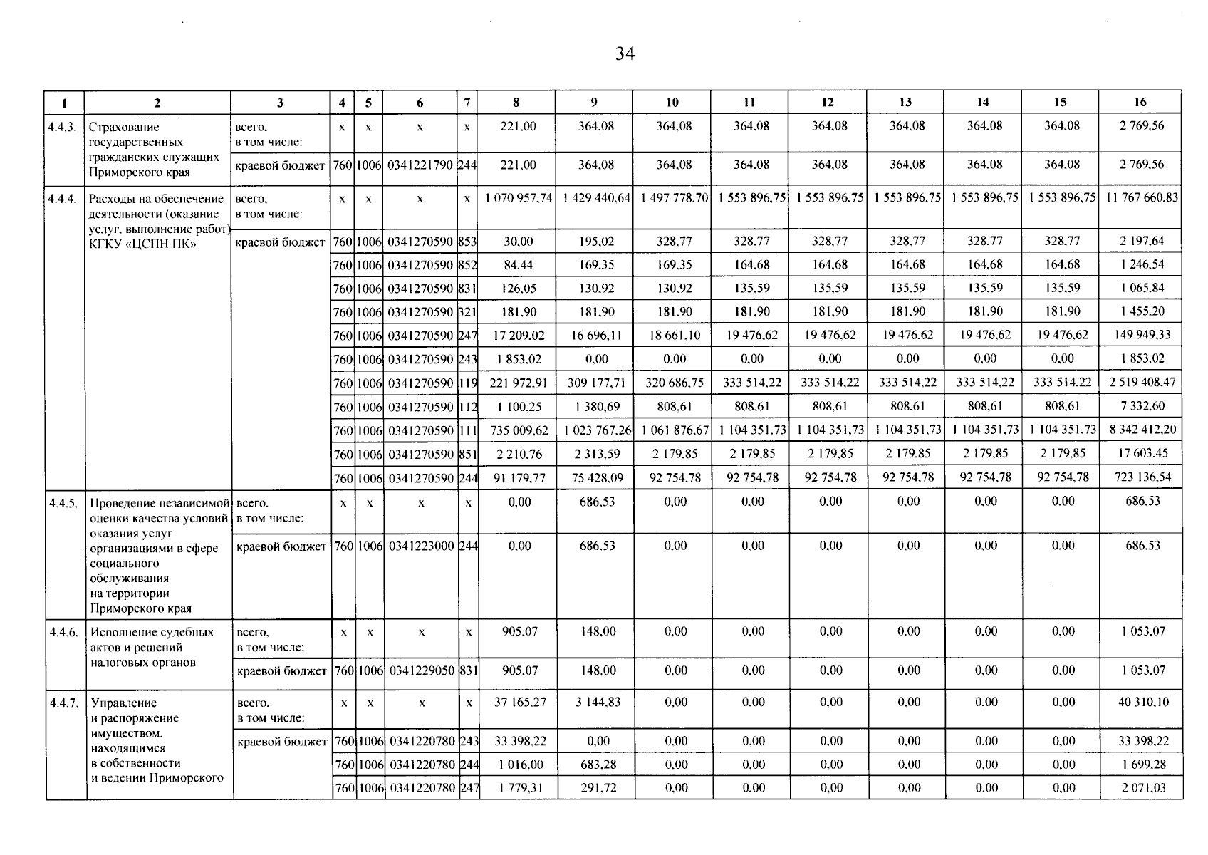
Постановление Правительства Приморского края от 28.10.2024 № 734-пп
"О внесении изменений в постановление Администрации Приморского края от 27 декабря 2019 года № 918-па "Об утверждении государственной программы Приморского края "Социальная поддержка населения Приморского края"
Номер опубликования: 2501202410300013
Дата опубликования: 30.10.2024
Страница №54 из 91:
Увеличить