Официальное опубликование правовых актов
ОФИЦИАЛЬНОЕ ОПУБЛИКОВАНИЕ
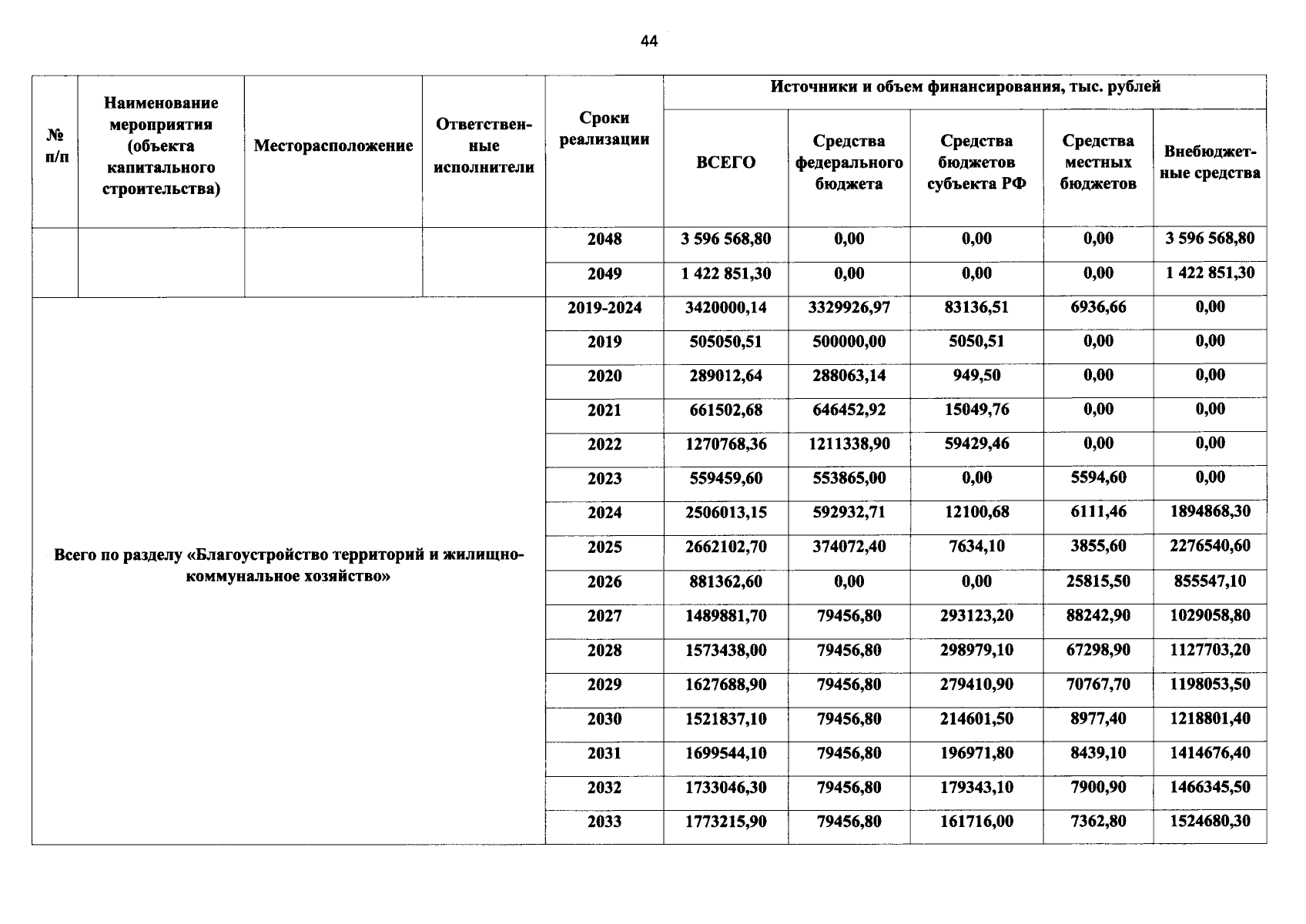
Постановление Правительства Приморского края от 18.10.2024 № 715-пп
"О внесении изменений в постановление Администрации Приморского края от 29 июня 2018 года № 303-па "Об утверждении Плана социального развития центров экономического роста Приморского края"
Номер опубликования: 2501202410210005
Дата опубликования: 21.10.2024
Страница №46 из 113:
Увеличить