Официальное опубликование правовых актов
ОФИЦИАЛЬНОЕ ОПУБЛИКОВАНИЕ
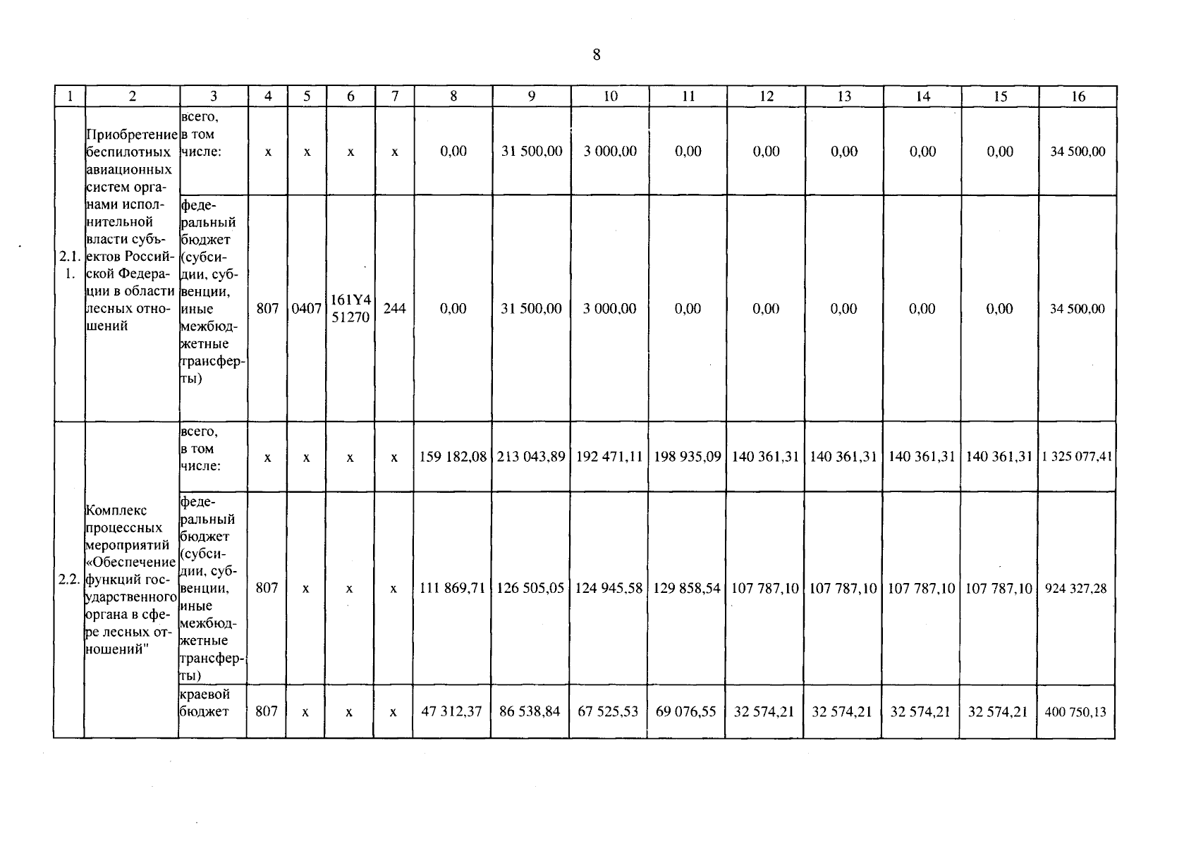
Постановление Правительства Приморского края от 17.10.2024 № 712-пп
"О внесении изменений в постановление Администрации Приморского края от 27 августа 2019 года № 558-па "Об утверждении государственной программы Приморского края "Развитие лесного хозяйства в Приморском крае"
Номер опубликования: 2501202410210001
Дата опубликования: 21.10.2024
Страница №11 из 15:
Увеличить