Официальное опубликование правовых актов
ОФИЦИАЛЬНОЕ ОПУБЛИКОВАНИЕ
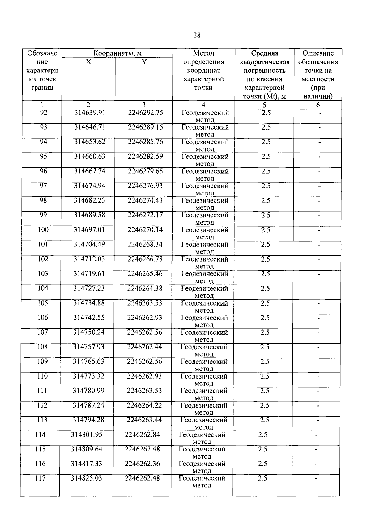
Постановление Правительства Приморского края от 23.09.2024 № 659-пп
"Об установлении зон санитарной охраны для скважинного водозабора, состоящего из скважин NoNo ПР-530, ПР-531, 9917 (резервная), расположенного в п. Врангель Находкинского городского округа Приморского края"
Номер опубликования: 2501202409240005
Дата опубликования: 24.09.2024
Страница №30 из 41:
Увеличить