Официальное опубликование правовых актов
ОФИЦИАЛЬНОЕ ОПУБЛИКОВАНИЕ
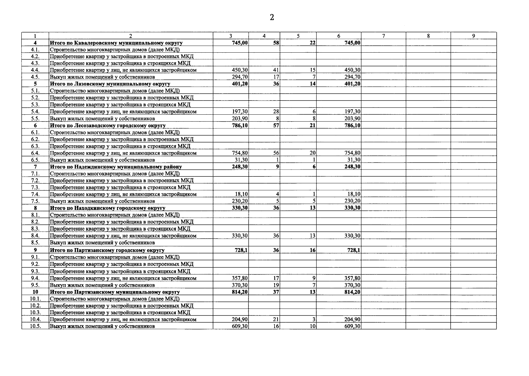
Постановление Правительства Приморского края от 13.08.2024 № 582-пп
"О внесении изменений в постановление Администрации Приморского края от 9 апреля 2019 года No 217-па "Об утверждении региональной адресной программы "Переселение граждан из аварийного жилищного фонда в Приморском крае" на 2019-2024 годы"
Номер опубликования: 2501202408140004
Дата опубликования: 14.08.2024
Страница №40 из 46:
Увеличить