Официальное опубликование правовых актов
ОФИЦИАЛЬНОЕ ОПУБЛИКОВАНИЕ
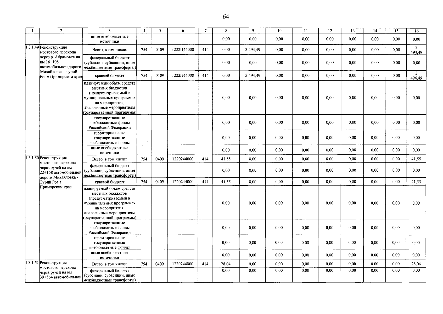
Постановление Правительства Приморского края от 09.08.2024 № 576-пп
"О внесении изменений в постановление Администрации Приморского края от 27 декабря 2019 года No 919-па "Об утверждении государственной программы Приморского края "Развитие транспортного комплекса Приморского края"
Номер опубликования: 2501202408120006
Дата опубликования: 12.08.2024
Страница №66 из 102:
Увеличить