Официальное опубликование правовых актов
ОФИЦИАЛЬНОЕ ОПУБЛИКОВАНИЕ
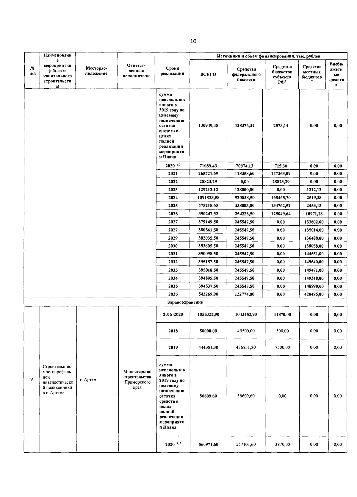
Постановление Правительства Приморского края от 30.07.2024 № 547-пп
"О внесении изменений в постановление Администрации Приморского края от 29 июня 2018 года No 303-па "Об утверждении Плана социального развития центров экономического роста Приморского края"
Номер опубликования: 2501202408020013
Дата опубликования: 02.08.2024
Страница №12 из 56:
Увеличить