Официальное опубликование правовых актов
ОФИЦИАЛЬНОЕ ОПУБЛИКОВАНИЕ
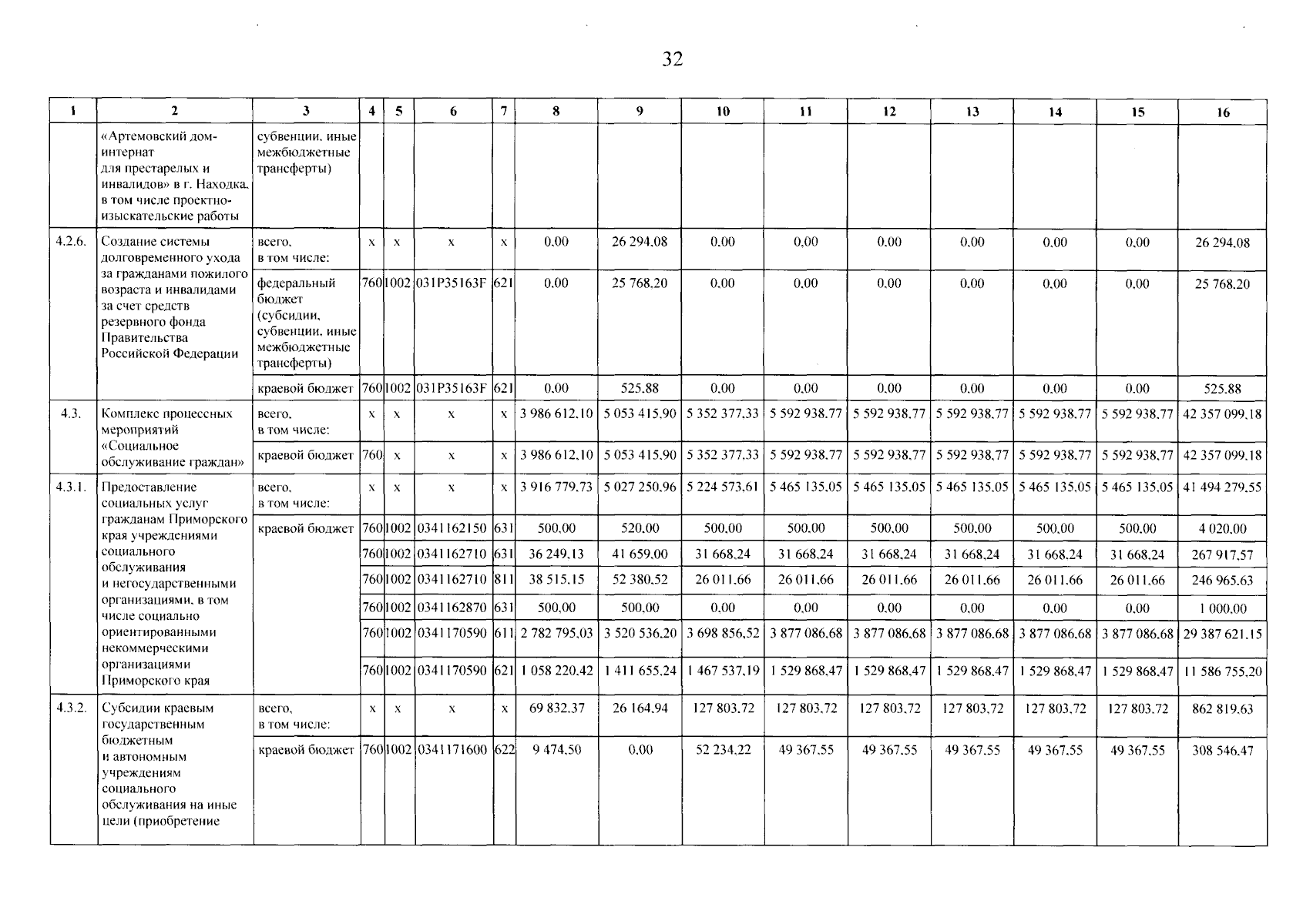
Постановление Правительства Приморского края от 26.07.2024 № 540-пп
"О внесении изменений в постановление Администрации Приморского края от 27 декабря 2019 года № 918-па "Об утверждении государственной программы Приморского края "Социальная поддержка населения Приморского края"
Номер опубликования: 2501202407290002
Дата опубликования: 29.07.2024
Страница №82 из 119:
Увеличить