Официальное опубликование правовых актов
ОФИЦИАЛЬНОЕ ОПУБЛИКОВАНИЕ
Постановление Правительства Приморского края от 19.07.2024 № 527-пп
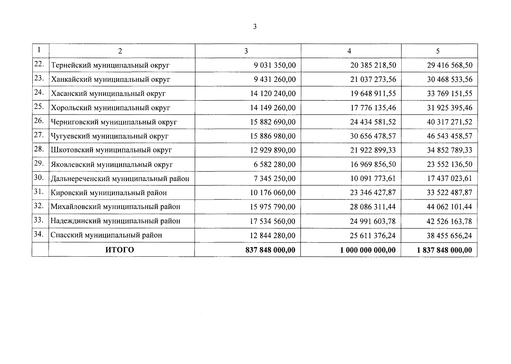
"О внесении изменений в постановление Правительства Приморского края от 1 апреля 2024 года № 196-пп "Об утверждении распределения дотаций на поддержку мер по обеспечению сбалансированности местных бюджетов на 2024 год"
Номер опубликования: 2501202407240013
Дата опубликования: 24.07.2024
Страница №4 из 4:
Увеличить