Официальное опубликование правовых актов
ОФИЦИАЛЬНОЕ ОПУБЛИКОВАНИЕ
Приказ Министерства энергетики и газоснабжения Приморского края от 24.06.2024 № 45пр-188
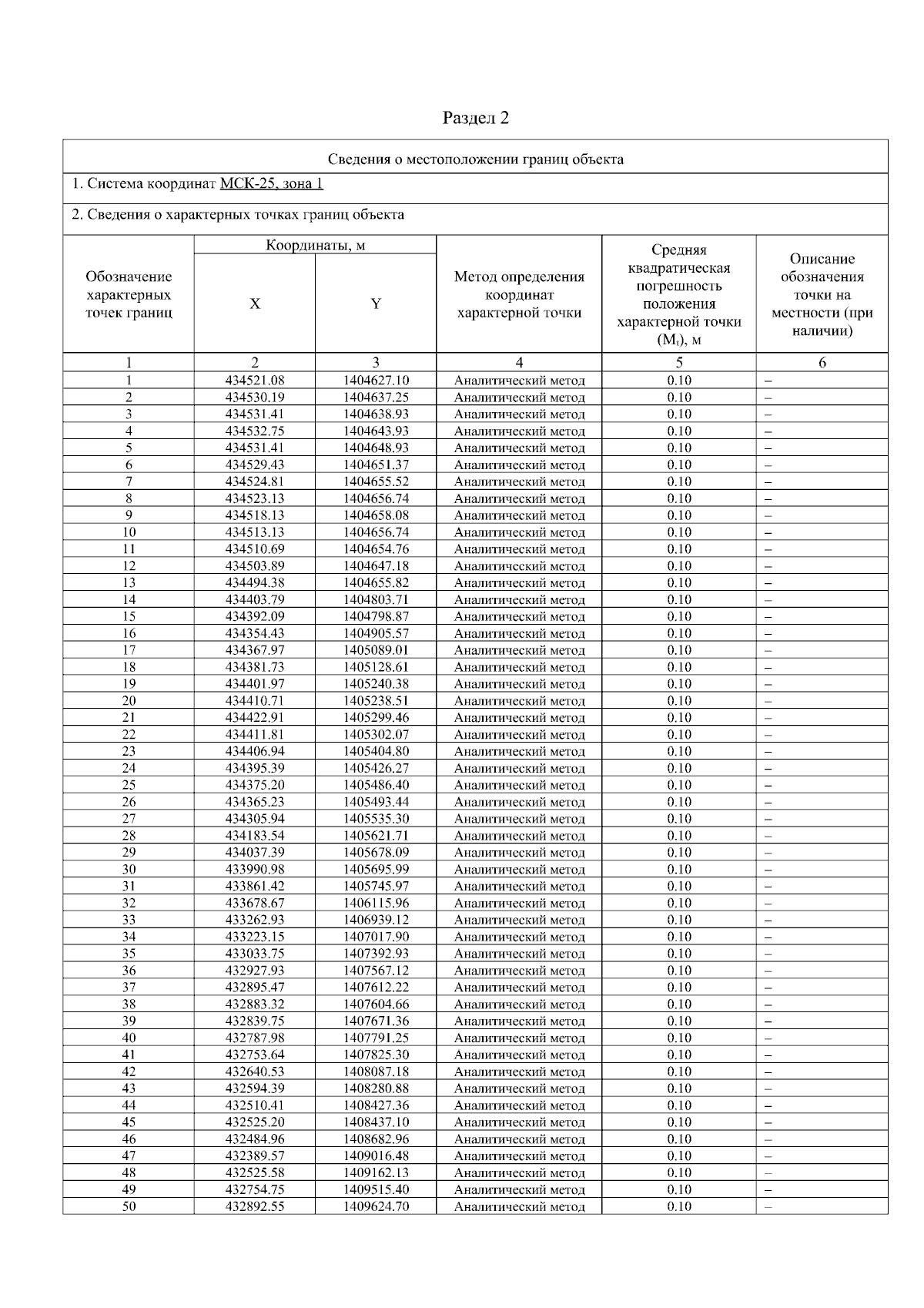
"Об утверждении границ охранной зоны газораспределительной сети и наложении ограничений (обременений) на входящие в них земельные участки на территории Уссурийского городского округа"
(Зарегистрирован 04.07.2024 № 1394)
Номер опубликования: 2501202407050001
Дата опубликования: 05.07.2024
Страница №5 из 7:
Увеличить