Официальное опубликование правовых актов
ОФИЦИАЛЬНОЕ ОПУБЛИКОВАНИЕ
Постановление Правительства Приморского края от 04.07.2024 № 480-пп
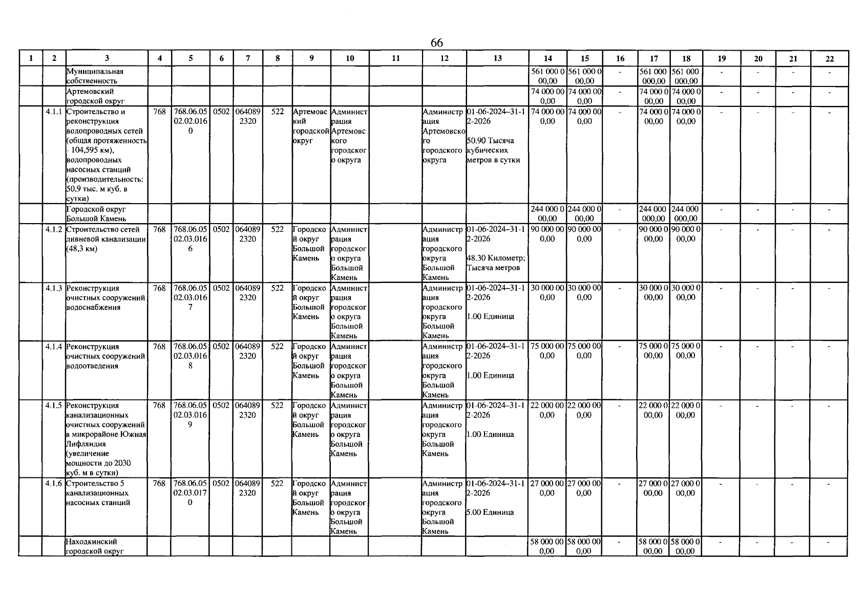
"О внесении изменений в постановление Правительства Приморского края от 27 декабря 2023 года № 956-пп "Об утверждении адресной инвестиционной программы Приморского края на 2024 год и плановый период 2025 и 2026 годов"
Номер опубликования: 2501202407040001
Дата опубликования: 04.07.2024
Страница №67 из 96:
Увеличить