Официальное опубликование правовых актов
ОФИЦИАЛЬНОЕ ОПУБЛИКОВАНИЕ
Приказ Министерства энергетики и газоснабжения Приморского края от 04.06.2024 № 45пр-166
"Об утверждении границ охранной зоны газораспределительной сети и наложении ограничений (обременений) на входящие в них земельные участки на территории городского округа Большой Камень"
(Зарегистрирован 06.06.2024 № 1340)
Номер опубликования: 2501202406130017
Дата опубликования: 13.06.2024
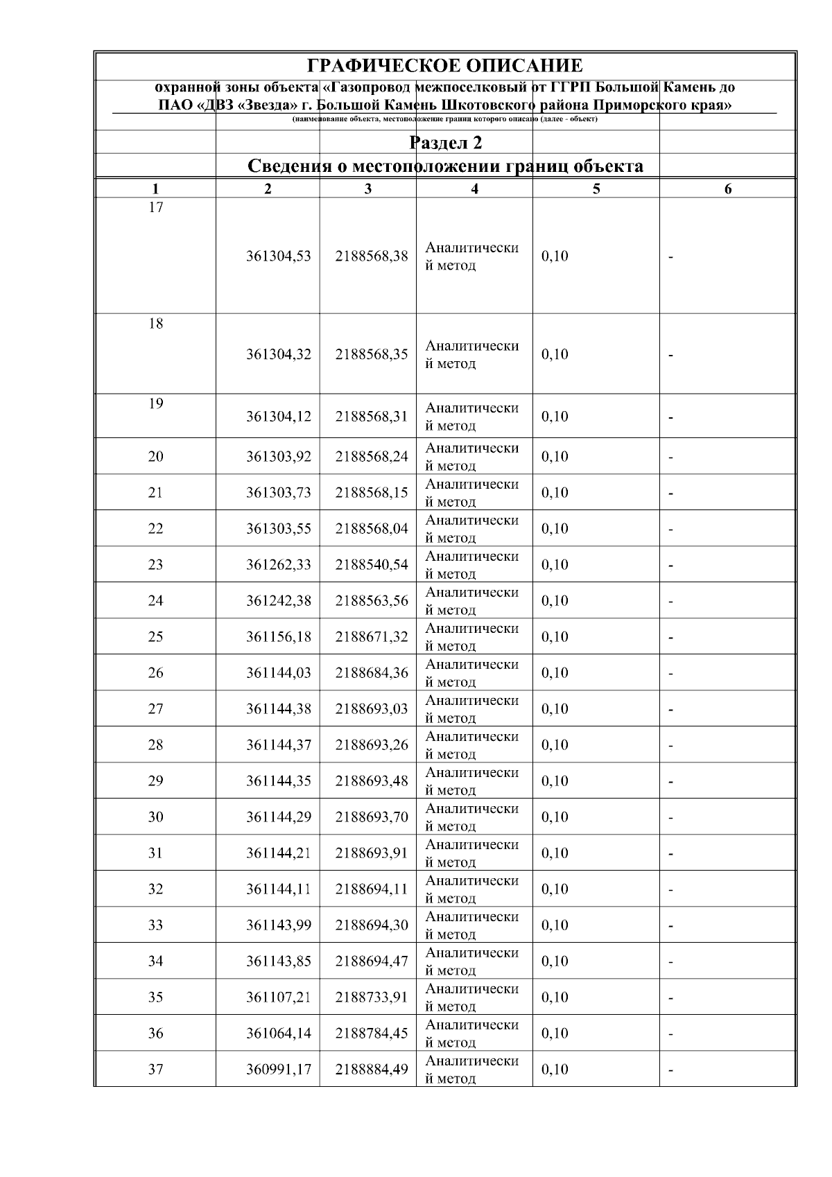
Страница №7 из 30:
Увеличить