Официальное опубликование правовых актов
ОФИЦИАЛЬНОЕ ОПУБЛИКОВАНИЕ
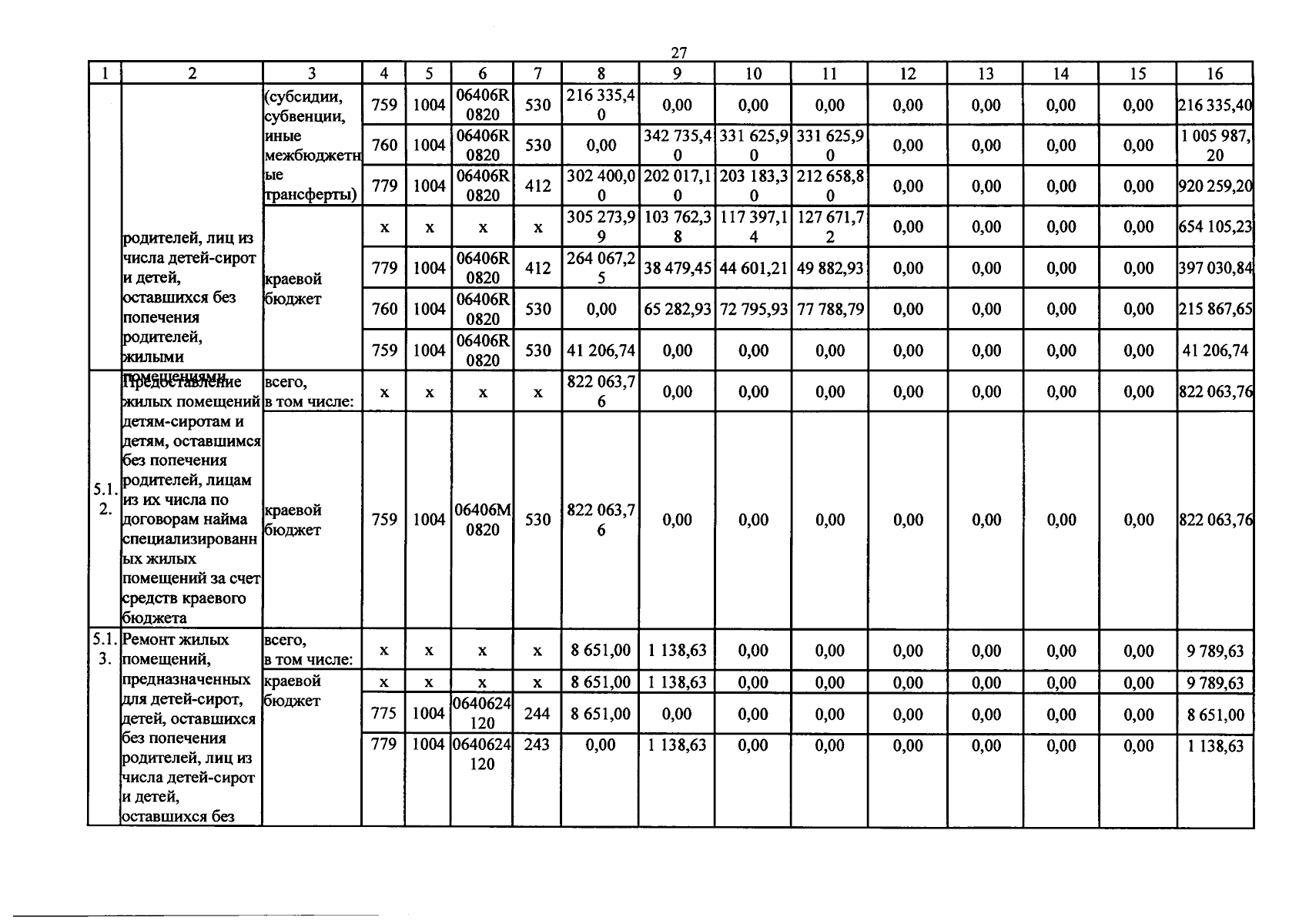
Постановление Правительства Приморского края от 31.05.2024 № 376-пп
"О внесении изменений в постановление Администрации Приморского края от 30 декабря 2019 года No 945-па "Об утверждении государственной программы Приморского края "Обеспечение доступным жильем и качественными услугами жилищно-коммунального хозяйства населения Приморского края"
Номер опубликования: 2501202406050004
Дата опубликования: 05.06.2024
Страница №81 из 103:
Увеличить