Официальное опубликование правовых актов
ОФИЦИАЛЬНОЕ ОПУБЛИКОВАНИЕ
Приказ Министерства энергетики и газоснабжения Приморского края от 14.05.2024 № 45пр-140
"О внесении изменений в приказ министерства энергетики и газоснабжения Приморского края от 1 сентября 2023 года № 45пр-217 "Об утверждении границ охранной зоны газораспределительной сети и наложении ограничений (обременений) на входящие в них земельные участки на территории Надеждинского муниципального района"
(Зарегистрирован 16.05.2024 № 1313)
Номер опубликования: 2501202405170037
Дата опубликования: 17.05.2024
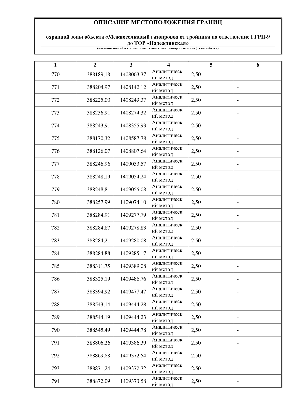
Страница №36 из 40:
Увеличить