Официальное опубликование правовых актов
ОФИЦИАЛЬНОЕ ОПУБЛИКОВАНИЕ
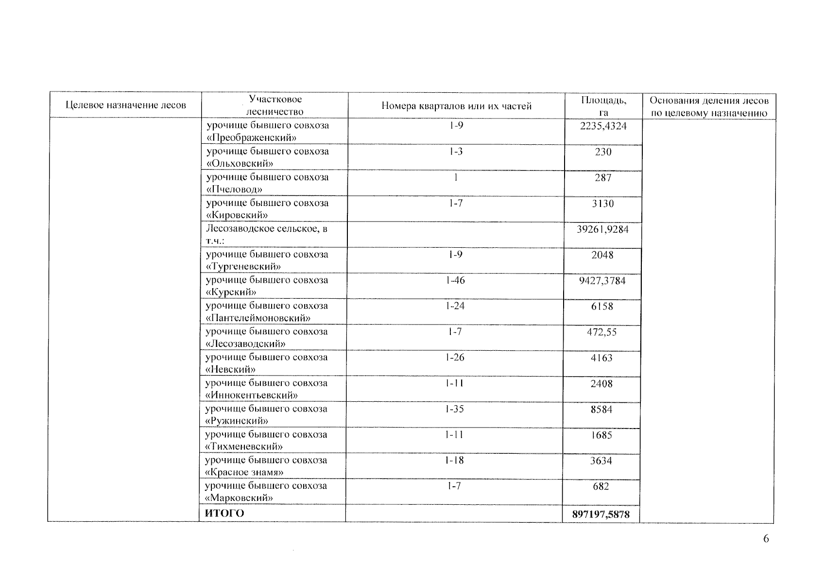
Приказ Министерства лесного хозяйства, охраны окружающей среды, животного мира и природных ресурсов Приморского края от 27.04.2024 № 510
"О внесении изменений в лесохозяйственный регламент Дальнереченского лесничества Приморского края, утвержденный приказом департамента лесного хозяйства Приморского края от 30.11.2018 № 1562 "Об утверждении лесохозяйственных регламентов лесничеств Приморского края"
(Зарегистрирован 13.05.2024 № 1301)
Номер опубликования: 2501202405170024
Дата опубликования: 17.05.2024
Страница №11 из 54:
Увеличить