Официальное опубликование правовых актов
ОФИЦИАЛЬНОЕ ОПУБЛИКОВАНИЕ
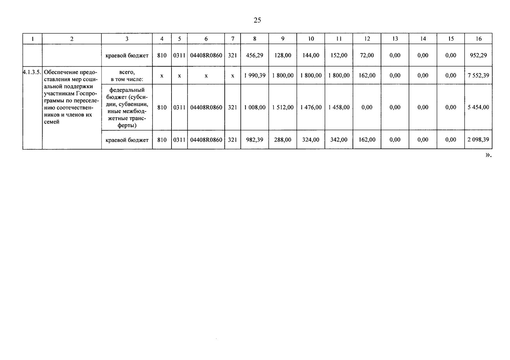
Постановление Правительства Приморского края от 25.04.2024 № 275-пп
"О внесении изменений в постановление Администрации Приморского края от 24 декабря 2019 года № 870-па "Об утверждении государственной программы Приморского края "Содействие занятости населения Приморского края"
Номер опубликования: 2501202404270002
Дата опубликования: 27.04.2024
Страница №32 из 36:
Увеличить