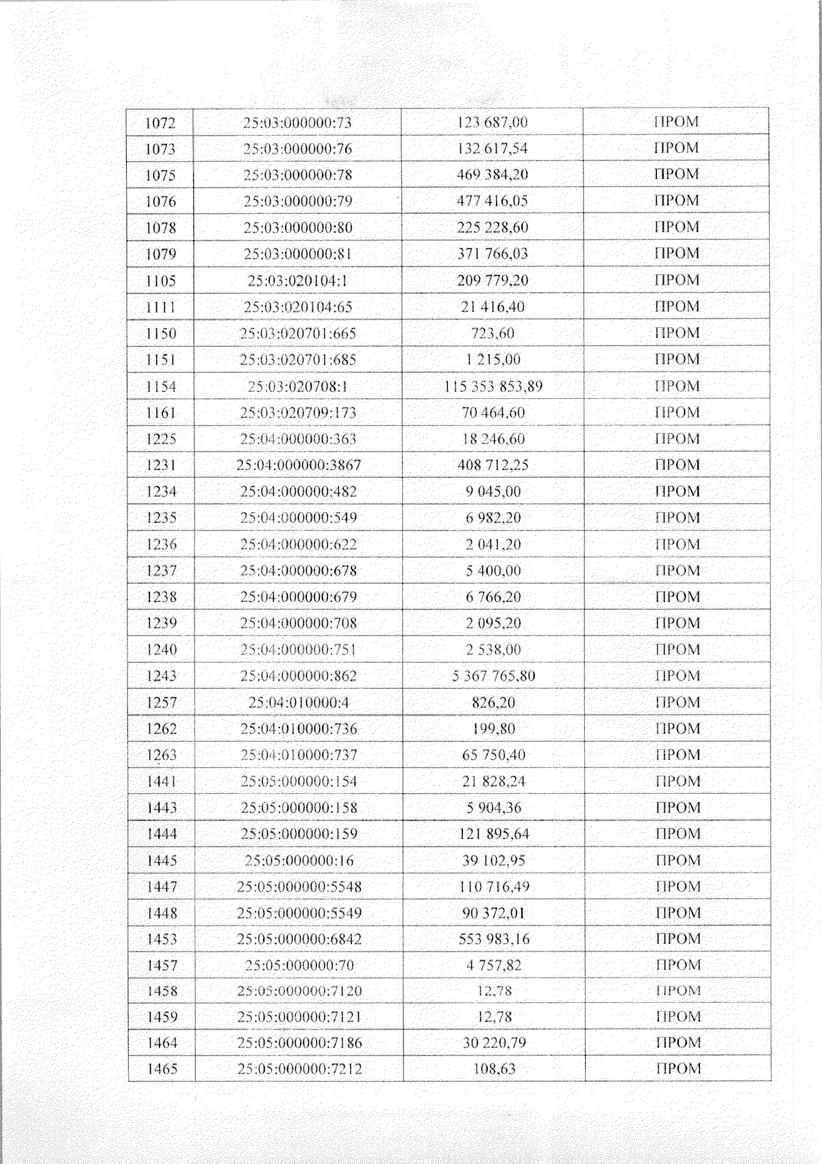
Постановление Министерства имущественных и земельных отношений Приморского края от 26.03.2024 № 10-п
"О внесении изменений в постановление министерства имущественных и земельных отношений Приморского края от 1 октября 2021 года № 61-п "Об утверждении результатов определения кадастровой стоимости объектов недвижимости, расположенных на территории Приморского края"
(Зарегистрирован 26.03.2024 № 1254)
"О внесении изменений в постановление министерства имущественных и земельных отношений Приморского края от 1 октября 2021 года № 61-п "Об утверждении результатов определения кадастровой стоимости объектов недвижимости, расположенных на территории Приморского края"
(Зарегистрирован 26.03.2024 № 1254)
Номер опубликования: 2501202403270001
Дата опубликования:
27.03.2024
