Официальное опубликование правовых актов
ОФИЦИАЛЬНОЕ ОПУБЛИКОВАНИЕ
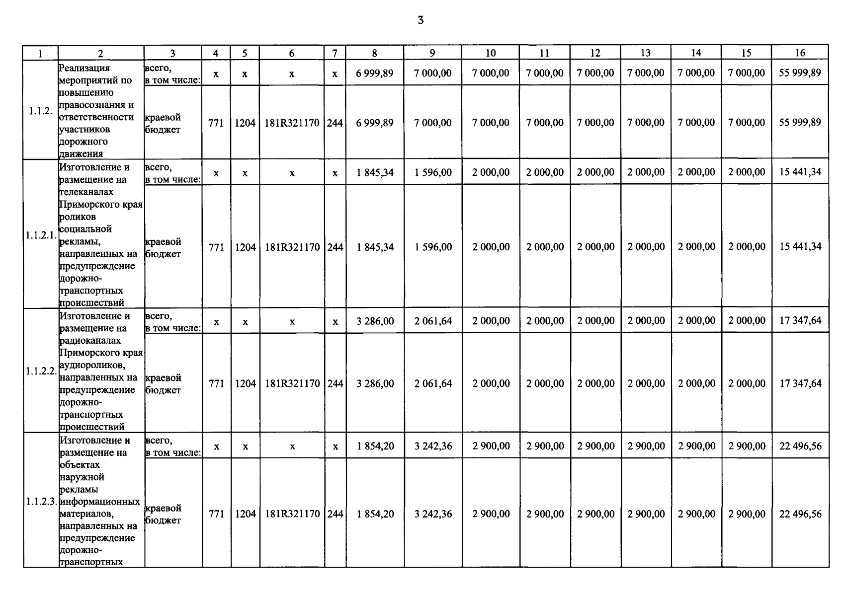
Постановление Правительства Приморского края от 22.03.2024 № 174-пп
"О внесении изменений в постановление Администрации Приморского края от 25 декабря 2019 года № 904-па "Об утверждении государственной программы Приморского края "Безопасный край"
Номер опубликования: 2501202403260002
Дата опубликования: 26.03.2024
Страница №7 из 25:
Увеличить