Официальное опубликование правовых актов
ОФИЦИАЛЬНОЕ ОПУБЛИКОВАНИЕ
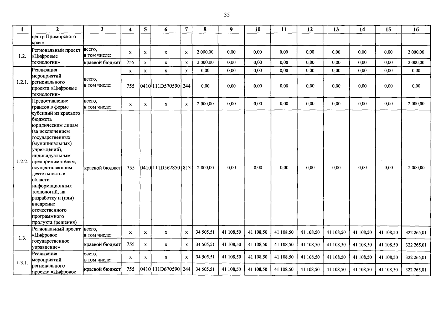
Постановление Правительства Приморского края от 11.03.2024 № 152-пп
"О внесении изменений в постановление Администрации Приморского края от 2 июля 2019 года № 418-па "Об утверждении государственной программы Приморского края "Информационное общество"
Номер опубликования: 2501202403140007
Дата опубликования: 14.03.2024
Страница №37 из 52:
Увеличить