Официальное опубликование правовых актов
ОФИЦИАЛЬНОЕ ОПУБЛИКОВАНИЕ
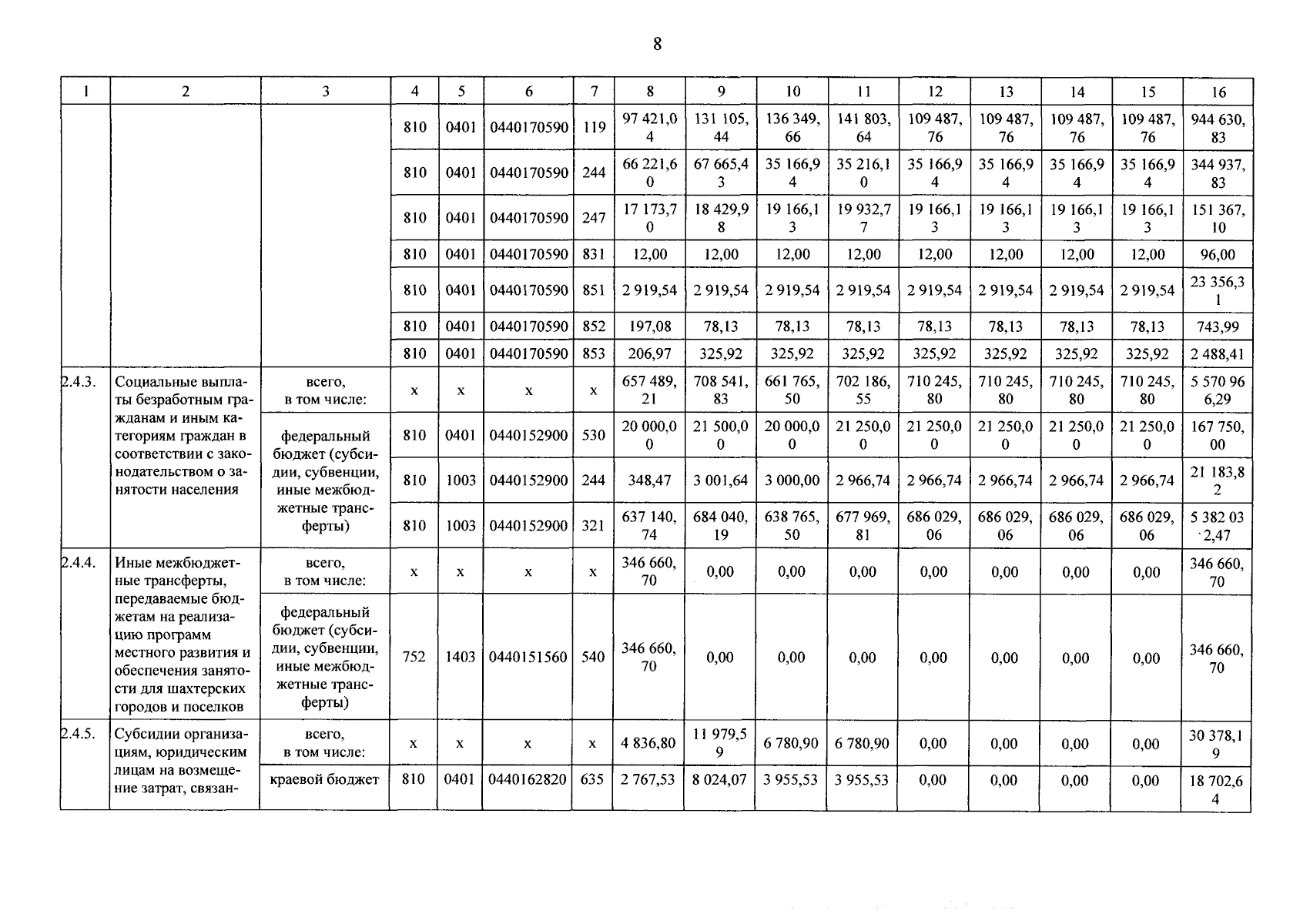
Постановление Правительства Приморского края от 13.02.2024 № 94-пп
"О внесении изменений в постановление Администрации Приморского края от 24 декабря 2019 года № 870-па "Об утверждении государственной программы Приморского края "Содействие занятости населения Приморского края"
Номер опубликования: 2501202402190008
Дата опубликования: 19.02.2024
Страница №53 из 81:
Увеличить