Официальное опубликование правовых актов
ОФИЦИАЛЬНОЕ ОПУБЛИКОВАНИЕ
Постановление Правительства Приморского края от 29.01.2024 № 51-пп
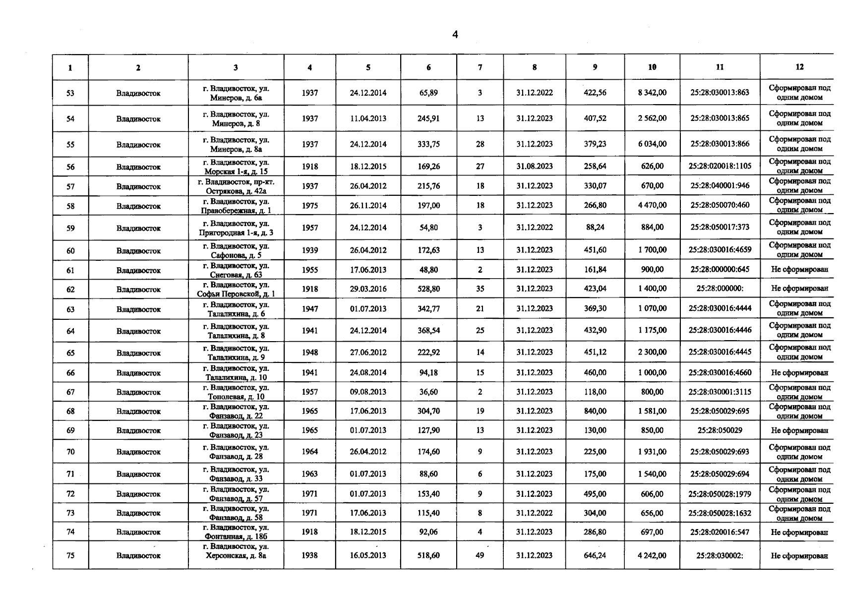
"О внесении изменений в постановление Администрации Приморского края от 9 апреля 2019 года № 217-па "Об утверждении региональной адресной программы "Переселение граждан из аварийного жилищного фонда в Приморском крае" на 2019-2023 годы"
Номер опубликования: 2501202402020021
Дата опубликования: 02.02.2024
Страница №12 из 62:
Увеличить