Официальное опубликование правовых актов
ОФИЦИАЛЬНОЕ ОПУБЛИКОВАНИЕ
Постановление Агентства по тарифам Приморского края от 28.12.2023 № 74/18
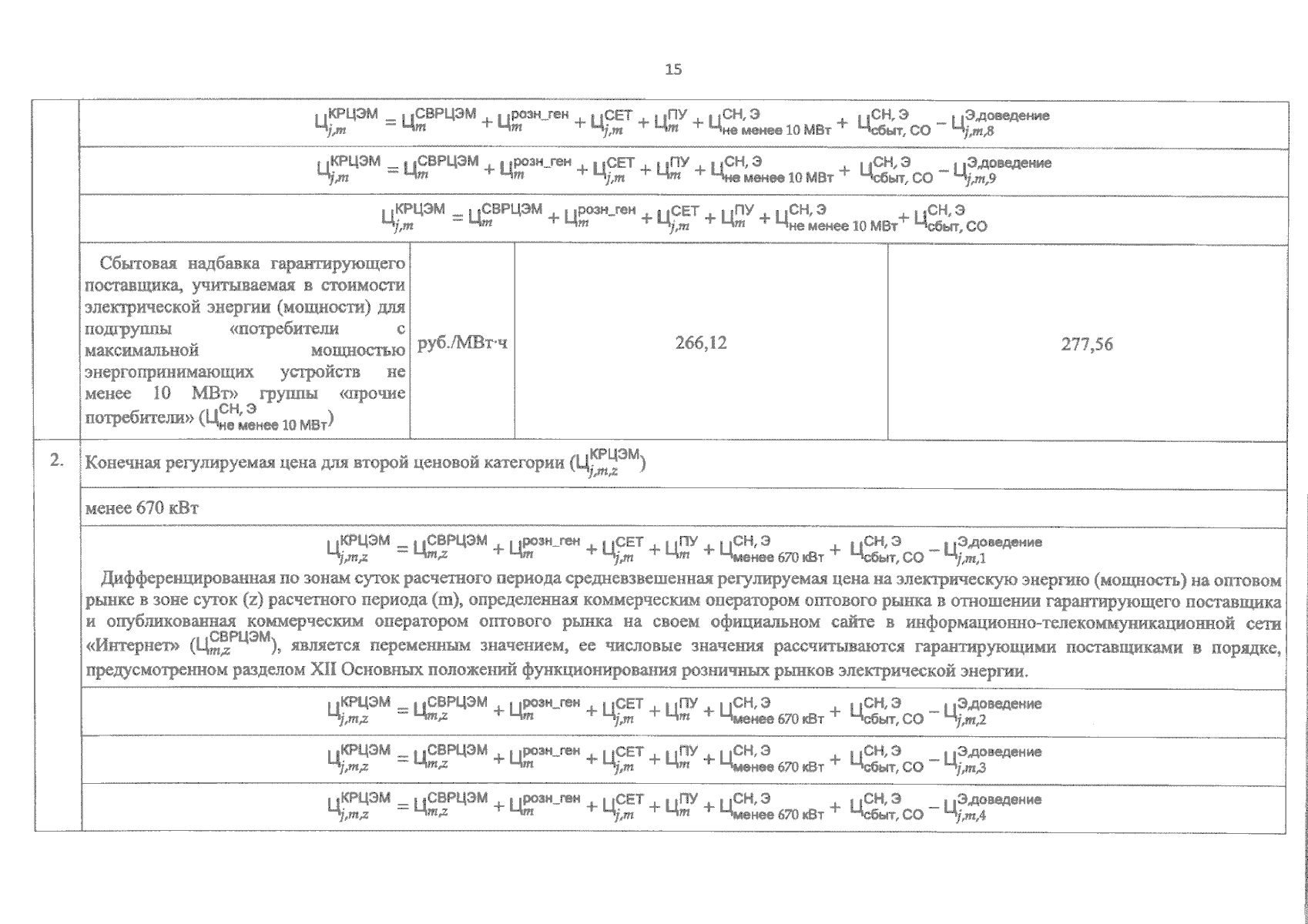
"О внесении изменений в постановление агентства по тарифам Приморского края от 07 декабря 2023 года № 65/17 "Об установлении цен (тарифов) на электрическую энергию (мощность), поставляемую покупателям на розничных рынках на территориях, объединенных в неценовые зоны оптового рынка, за исключением электрической энергии (мощности), поставляемой населению и приравненным к нему категориям потребителей, по договорам энергоснабжения ООО "МТС ЭНЕРГО" на 2024 год"
(Зарегистрирован 29.12.2023 № 1090)
Номер опубликования: 2501202401040014
Дата опубликования: 04.01.2024
Страница №17 из 37:
Увеличить