Официальное опубликование правовых актов
ОФИЦИАЛЬНОЕ ОПУБЛИКОВАНИЕ
Постановление Агентства по тарифам Приморского края от 28.12.2023 № 74/17
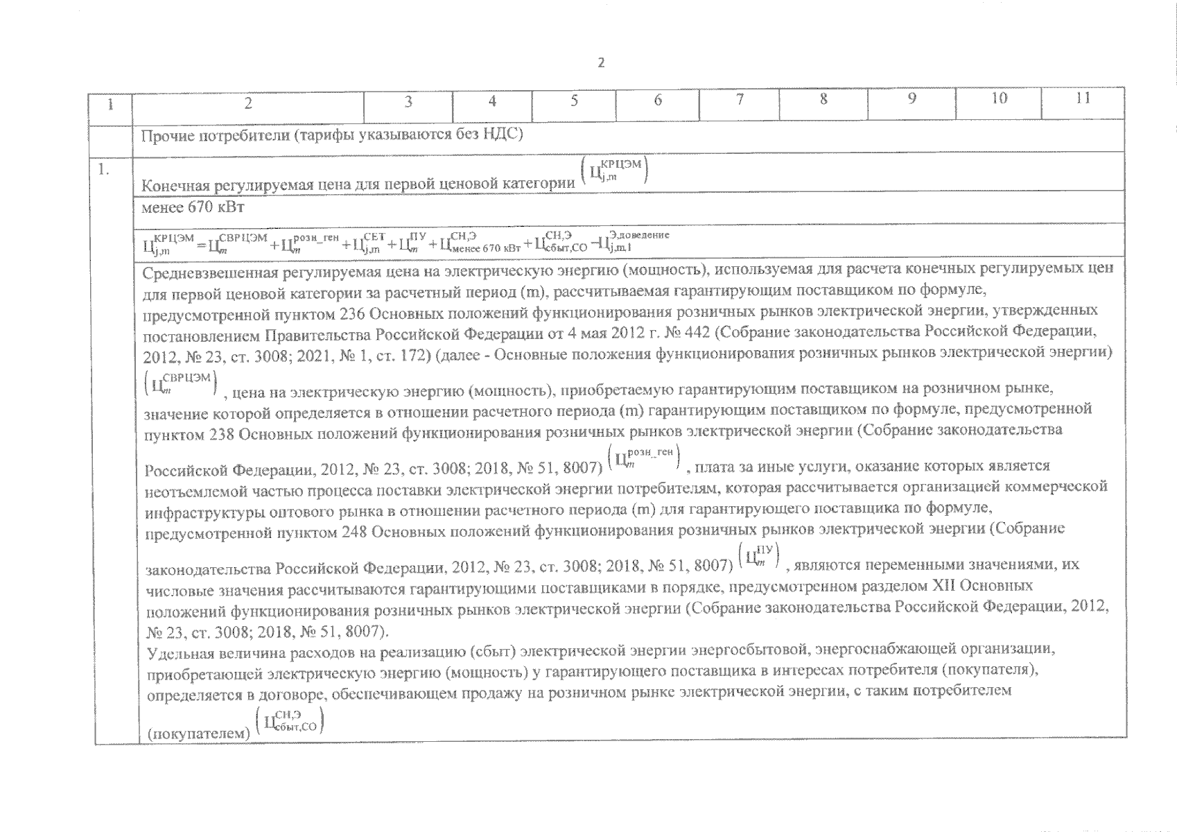
"О внесении изменений в постановление агентства по тарифам Приморского края от 7 декабря 2023 года № 65/16 "Об установлении цен (тарифов) на электрическую энергию (мощность), поставляемую покупателям на розничных рынках на территориях, объединенных в неценовые зоны оптового рынка, за исключением электрической энергии (мощности), поставляемой населению и приравненным к нему категориям потребителей, по договорам энергоснабжения ООО "РУСЭНЕРГОСБЫТ"
(Зарегистрирован 29.12.2023 № 1100)
Номер опубликования: 2501202401040012
Дата опубликования: 04.01.2024
Страница №31 из 70:
Увеличить