Официальное опубликование правовых актов
ОФИЦИАЛЬНОЕ ОПУБЛИКОВАНИЕ
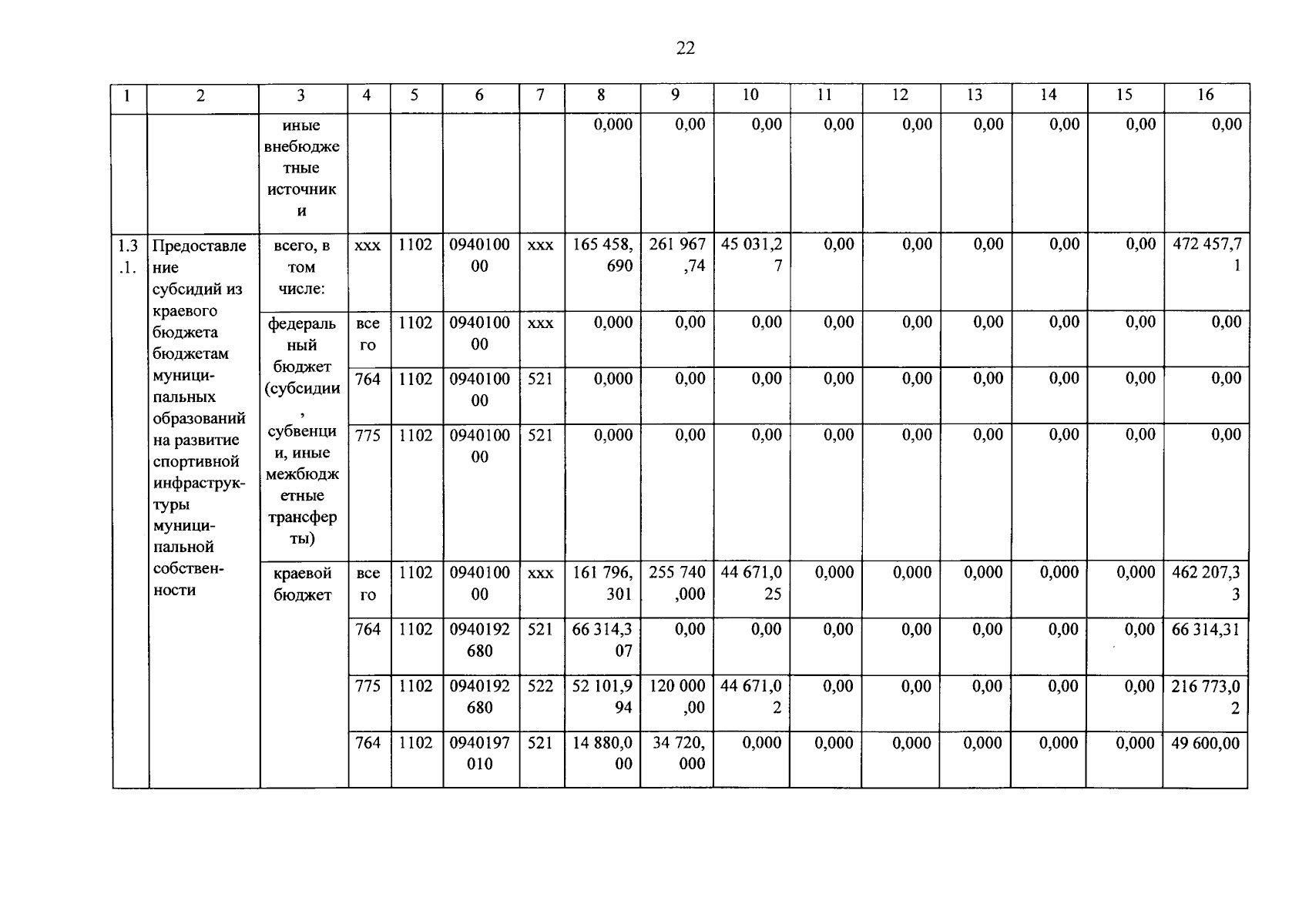
Постановление Правительства Приморского края от 07.12.2023 № 858-пп
"О внесении изменений в постановление Администрации Приморского края от 27 декабря 2019 года № 920-па "Об утверждении государственной программы Приморского края "Развитие физической культуры и спорта Приморского края"
Номер опубликования: 2501202312080018
Дата опубликования: 08.12.2023
Страница №32 из 168:
Увеличить