Официальное опубликование правовых актов
ОФИЦИАЛЬНОЕ ОПУБЛИКОВАНИЕ
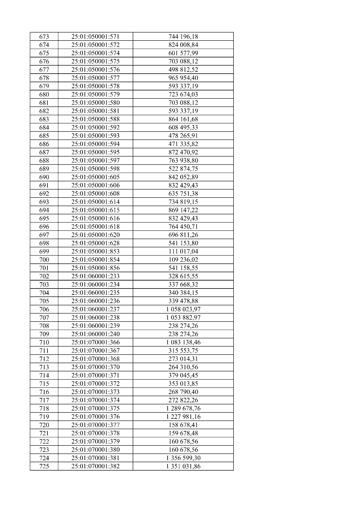
Постановление Министерства имущественных и земельных отношений Приморского края от 02.11.2023 № 111-п
"Об утверждении результатов определения кадастровой стоимости объектов недвижимости, расположенных на территории Приморского края"
(Зарегистрирован 03.11.2023 № 721)
Номер опубликования: 2501202311080009
Дата опубликования: 08.11.2023
Страница №17 из 26834:
Увеличить