Официальное опубликование правовых актов
ОФИЦИАЛЬНОЕ ОПУБЛИКОВАНИЕ
Постановление Правительства Приморского края от 02.11.2023 № 753-пп
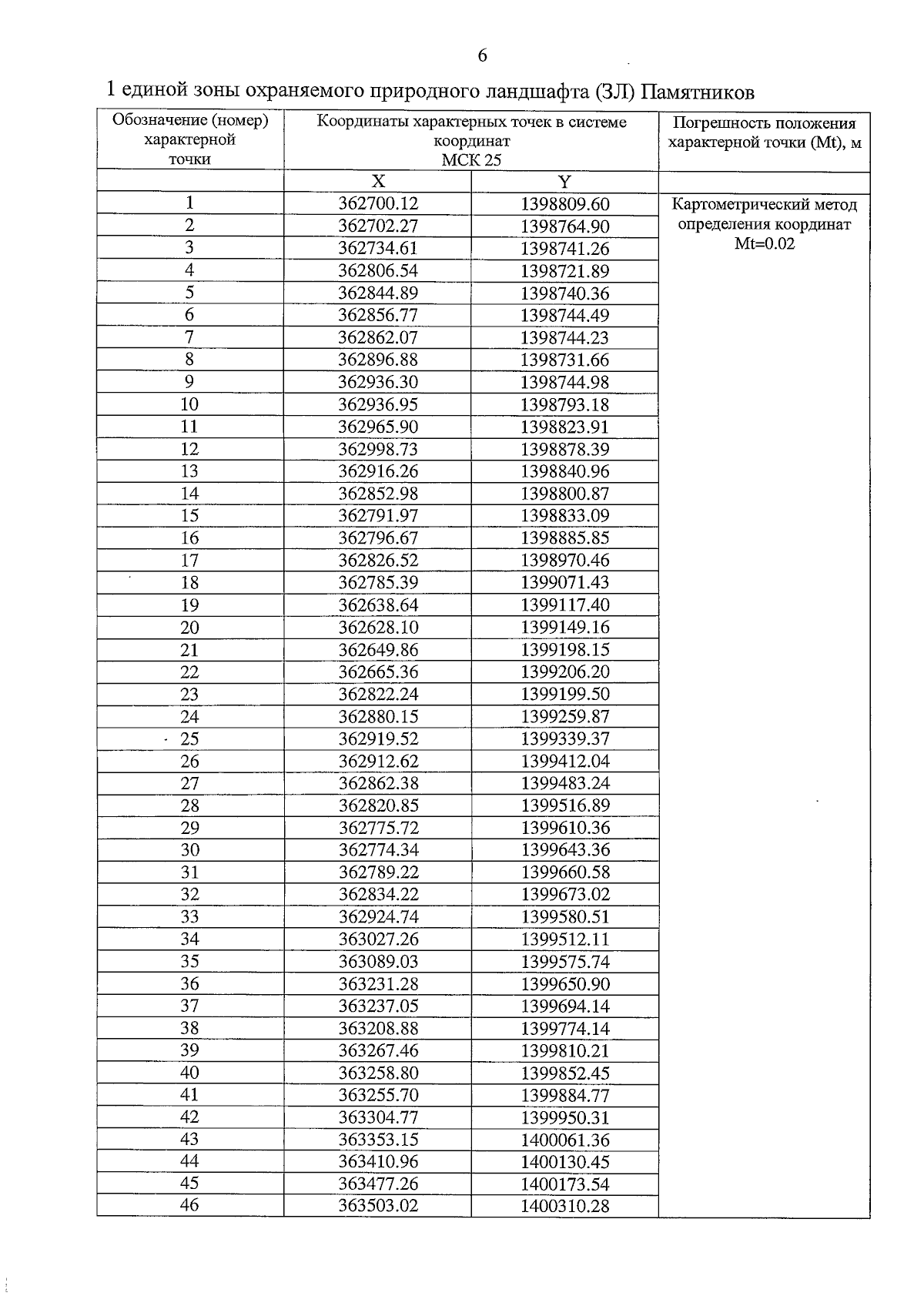
"Об установлении объединенной зоны охраны объектов культурного наследия федерального значения «Форт им. Муравьева-Амурского бывшей Владивостокской крепости», «Батарея А», «Батарея Б», «Батарея В», «Батарея Г», «Батарея Д», расположенных в районе горы Холодильник в городе Владивостоке, утверждении требований к градостроительным регламентам в границах территорий данной зоны"
Номер опубликования: 2501202311070002
Дата опубликования: 07.11.2023
Страница №8 из 26:
Увеличить