Официальное опубликование правовых актов
ОФИЦИАЛЬНОЕ ОПУБЛИКОВАНИЕ
Постановление Правительства Приморского края от 27.10.2023 № 738-пп
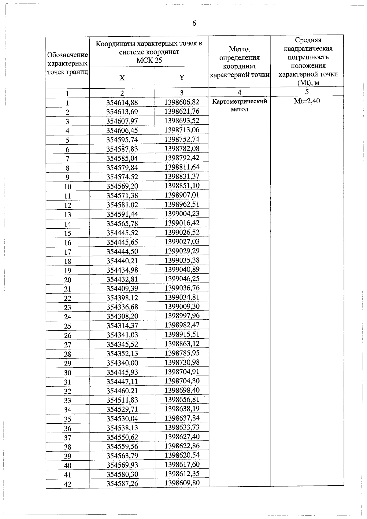
"Об установлении объединенной зоны охраны объектов культурного наследия федерального значения "Назимовская артиллерийская батарея", "Петропавловская мортирная батарея", "Петропавловская пушечная батарея", "Пороховой погреб П 1", входящих в состав объекта культурного наследия "Комплекс фортификационных сооружений Владивостокской крепости", расположенного в г. Владивостоке, утверждении требований к градостроительным регламентам в границах территорий данной зоны"
Номер опубликования: 2501202310300005
Дата опубликования: 30.10.2023
Страница №8 из 29:
Увеличить