Официальное опубликование правовых актов
ОФИЦИАЛЬНОЕ ОПУБЛИКОВАНИЕ
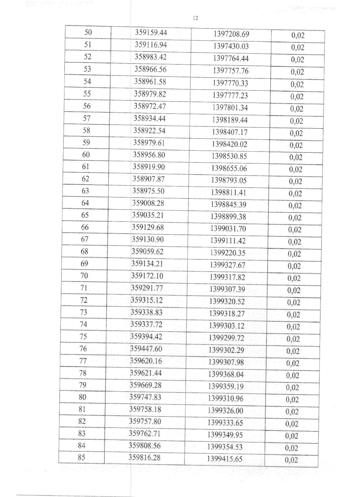
Приказ Инспекции по охране объектов культурного наследия Приморского края от 23.10.2023 № 437
"О включении выявленного объекта культурного наследия "Исторический центр города Владивостока" в единый государственный реестр объектов культурного наследия (памятников истории и культуры) народов Российской Федерации в качестве объекта культурного наследия регионального значения, утверждении границ территории объекта культурного наследия"
(Зарегистрирован 23.10.2023 № 687)
Номер опубликования: 2501202310250006
Дата опубликования: 25.10.2023
Страница №12 из 27:
Увеличить