Официальное опубликование правовых актов
ОФИЦИАЛЬНОЕ ОПУБЛИКОВАНИЕ
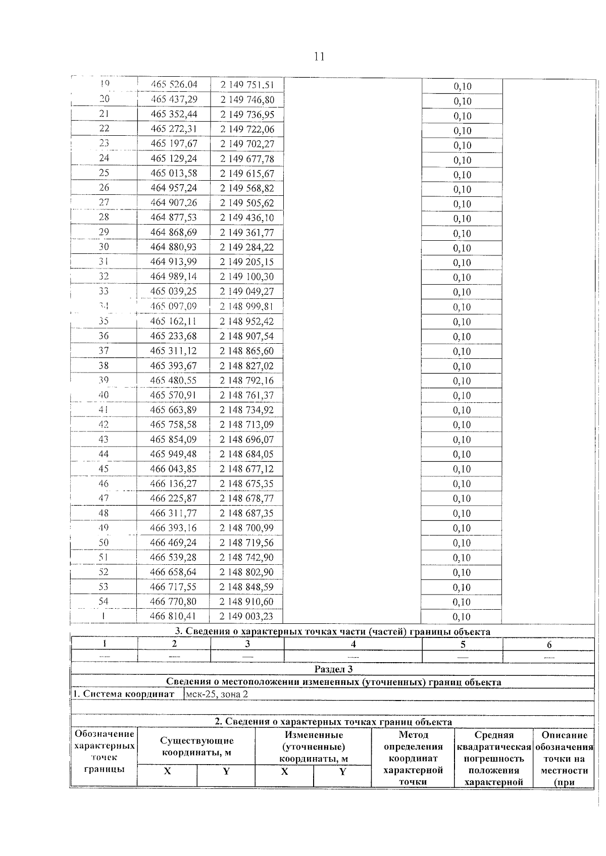
Постановление Правительства Приморского края от 24.10.2023 № 725-пп
"Об установлении зон санитарной охраны для водозабора из скважин № 5/2-М, № 5/3-М, № 5-М (резервная), № 5/5-М, № 5/6-М, № 5/4-М (резервная), расположенных в 3,1 км юго-западнее с. Степное Михайловского муниципального района Приморского края"
Номер опубликования: 2501202310250003
Дата опубликования: 25.10.2023
Страница №13 из 71:
Увеличить