Официальное опубликование правовых актов
ОФИЦИАЛЬНОЕ ОПУБЛИКОВАНИЕ
Постановление Правительства Приморского края от 19.10.2023 № 716-пп
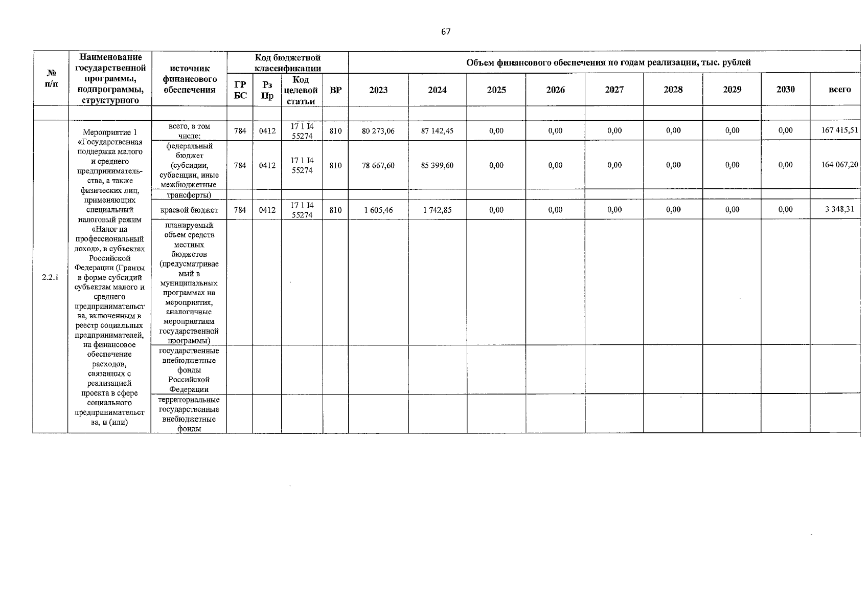
"О внесении изменений в постановление Администрации Приморского края от 19 декабря 2019 года № 860-па "Об утверждении государственной программы Приморского края "Экономическое развитие и инновационная экономика Приморского края"
Номер опубликования: 2501202310230004
Дата опубликования: 23.10.2023
Страница №69 из 111:
Увеличить