Официальное опубликование правовых актов
ОФИЦИАЛЬНОЕ ОПУБЛИКОВАНИЕ
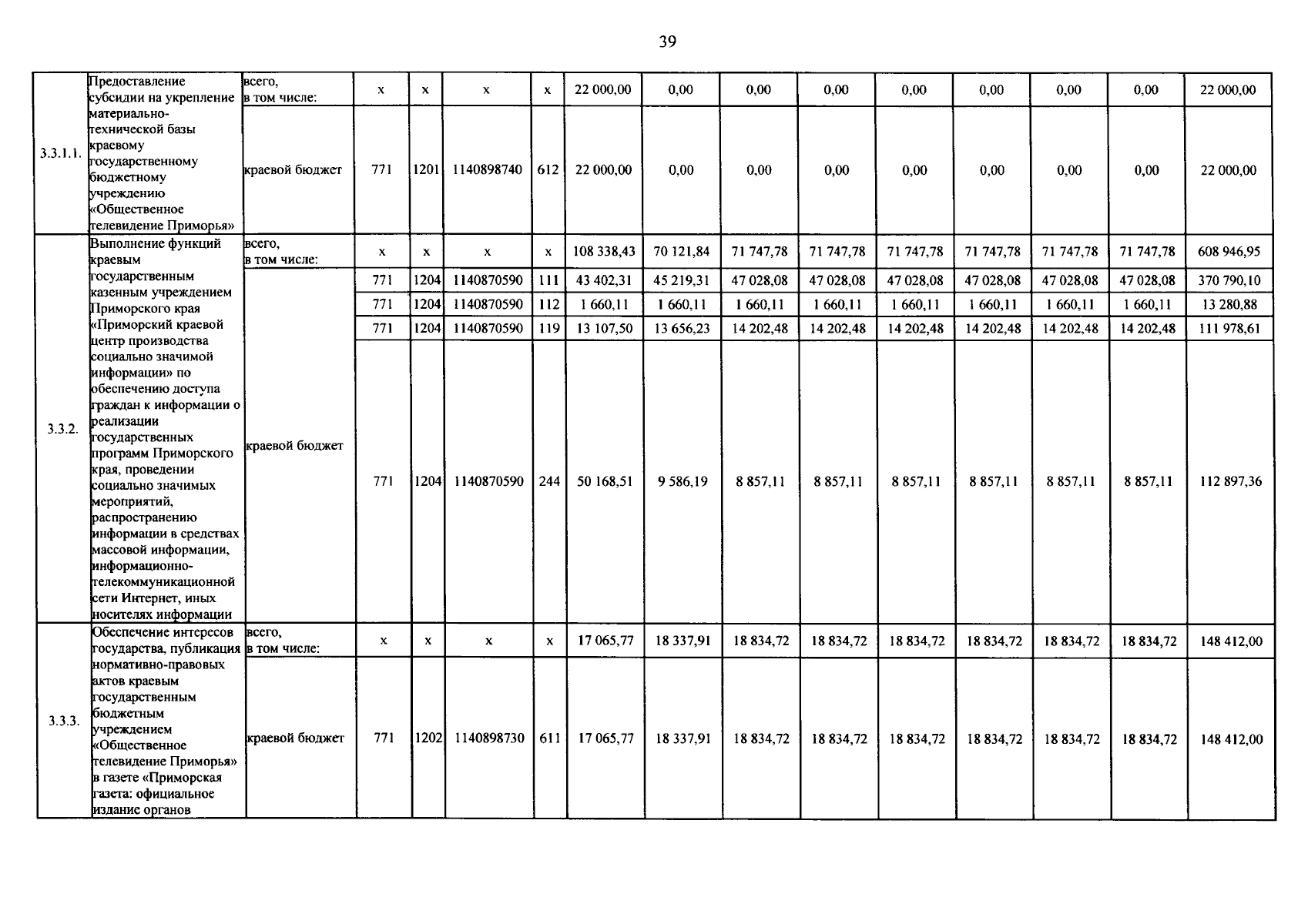
Постановление Правительства Приморского края от 27.09.2023 № 661-пп
"О внесении изменений в постановление Администрации Приморского края от 2 июля 2019 года № 418-па "Об утверждении государственной программы Приморского края "Информационное общество"
Номер опубликования: 2501202309280004
Дата опубликования: 28.09.2023
Страница №41 из 47:
Увеличить