Официальное опубликование правовых актов
ОФИЦИАЛЬНОЕ ОПУБЛИКОВАНИЕ
Постановление Правительства Приморского края от 14.09.2023 № 635-пп
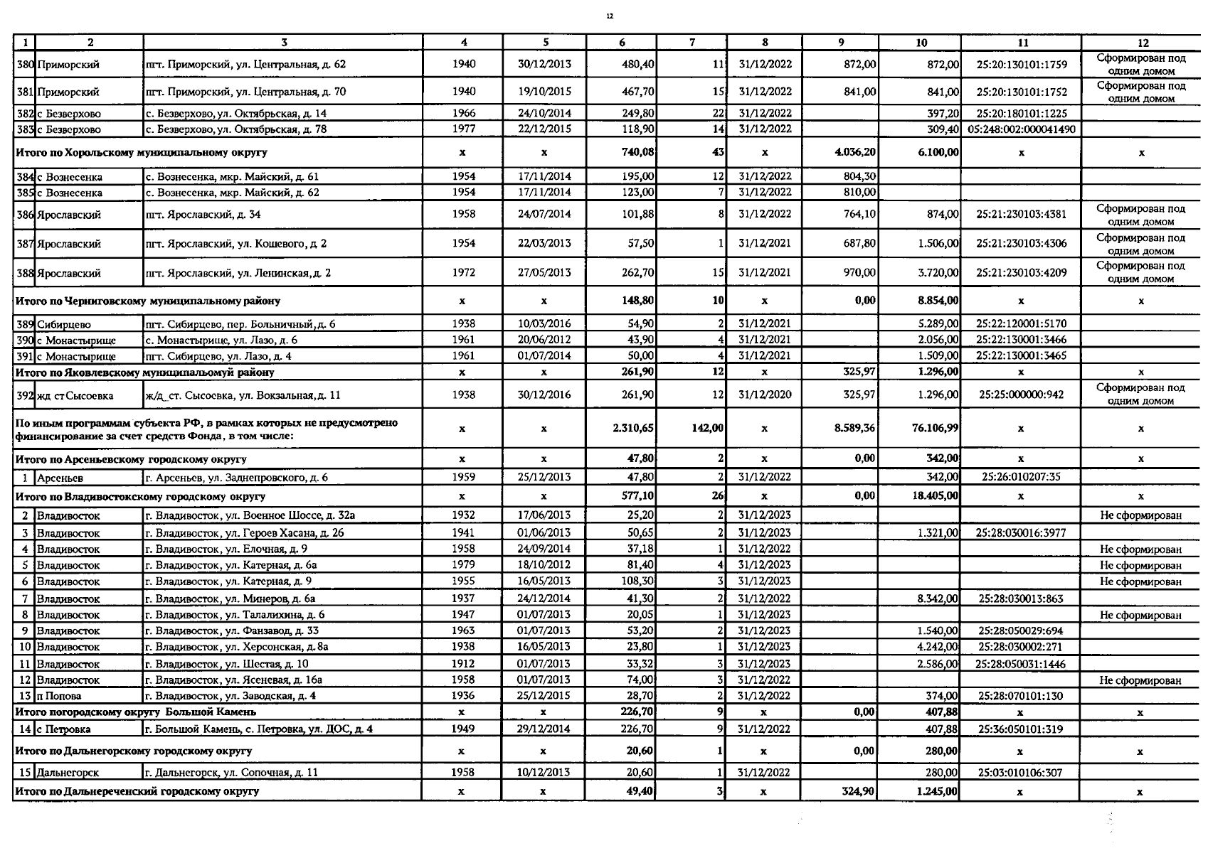
"О внесении изменений в постановление Администрации Приморского края от 9 апреля 2019 года № 217-па "Об утверждении региональной адресной программы "Переселение граждан из аварийного жилищного фонда в Приморском крае" на 2019 - 2023 годы"
Номер опубликования: 2501202309190011
Дата опубликования: 19.09.2023
Страница №15 из 24:
Увеличить