Официальное опубликование правовых актов
ОФИЦИАЛЬНОЕ ОПУБЛИКОВАНИЕ
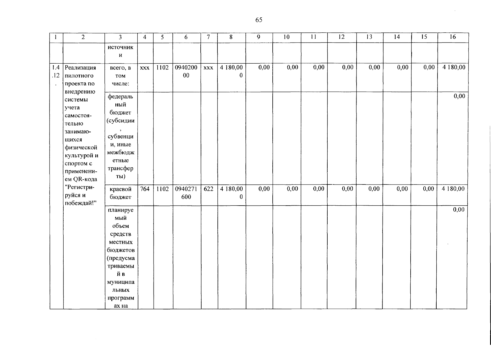
Постановление Правительства Приморского края от 16.08.2023 № 571-пп
"О внесении изменений в постановление Администрации Приморского края от 27 декабря 2019 года № 920-па "Об утверждении государственной программы Приморского края "Развитие физической культуры и спорта Приморского края"
Номер опубликования: 2501202308170003
Дата опубликования: 17.08.2023
Страница №70 из 138:
Увеличить