Официальное опубликование правовых актов
ОФИЦИАЛЬНОЕ ОПУБЛИКОВАНИЕ
Приказ Инспекции по охране объектов культурного наследия Приморского края от 08.08.2023 № 323
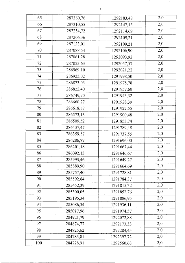
"О включении выявленного объекта культурного наследия "Хасанская историко-культурная мемориальная заповедная территория", 1938 г. в единый государственный реестр объектов культурного наследия (памятников истории и культуры) народов Российской Федерации в качестве объекта культурного наследия регионального значения, утверждении границ территории объекта культурного наследия"
(Зарегистрирован 09.08.2023 № 437)
Номер опубликования: 2501202308110020
Дата опубликования: 11.08.2023
Страница №7 из 16:
Увеличить