Официальное опубликование правовых актов
ОФИЦИАЛЬНОЕ ОПУБЛИКОВАНИЕ
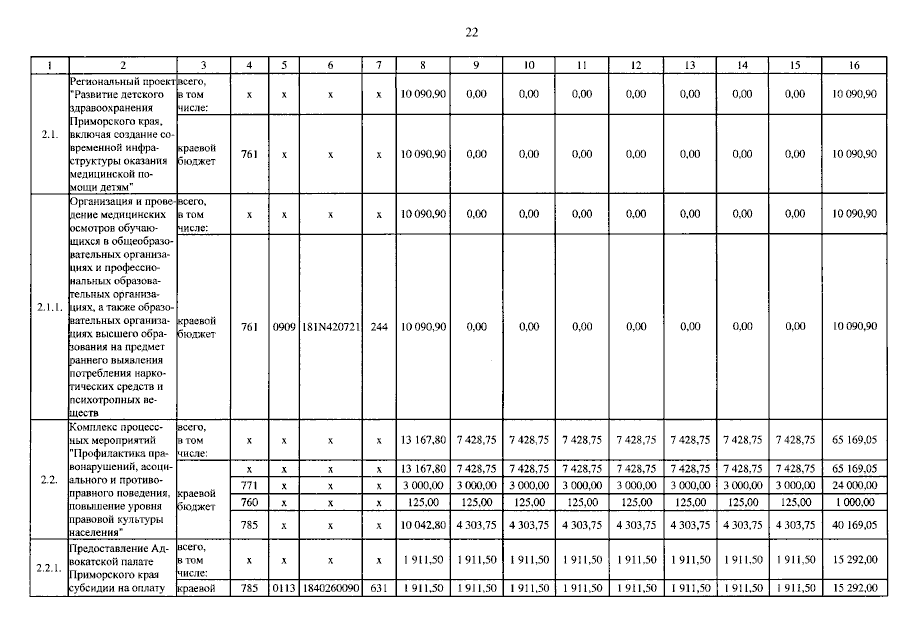
Постановление Правительства Приморского края от 27.07.2023 № 516-пп
"О внесении изменений в постановление Администрации Приморского края от 25 декабря 2019 года № 904-па "Об утверждении государственной программы Приморского края "Безопасный край"
Номер опубликования: 2501202307310015
Дата опубликования: 31.07.2023
Страница №24 из 35:
Увеличить