Официальное опубликование правовых актов
ОФИЦИАЛЬНОЕ ОПУБЛИКОВАНИЕ
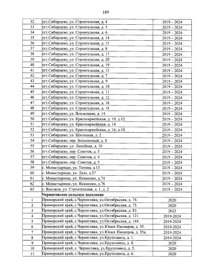
Постановление Правительства Приморского края от 29.03.2023 № 210-пп
"О внесении изменений в постановление Администрации Приморского края от 30 декабря 2019 года № 944-па "Об утверждении государственной программы Приморского края "Формирование современной городской среды муниципальных образований Приморского края"
Номер опубликования: 2501202303300005
Дата опубликования: 30.03.2023
Страница №227 из 322:
Увеличить