Официальное опубликование правовых актов
ОФИЦИАЛЬНОЕ ОПУБЛИКОВАНИЕ
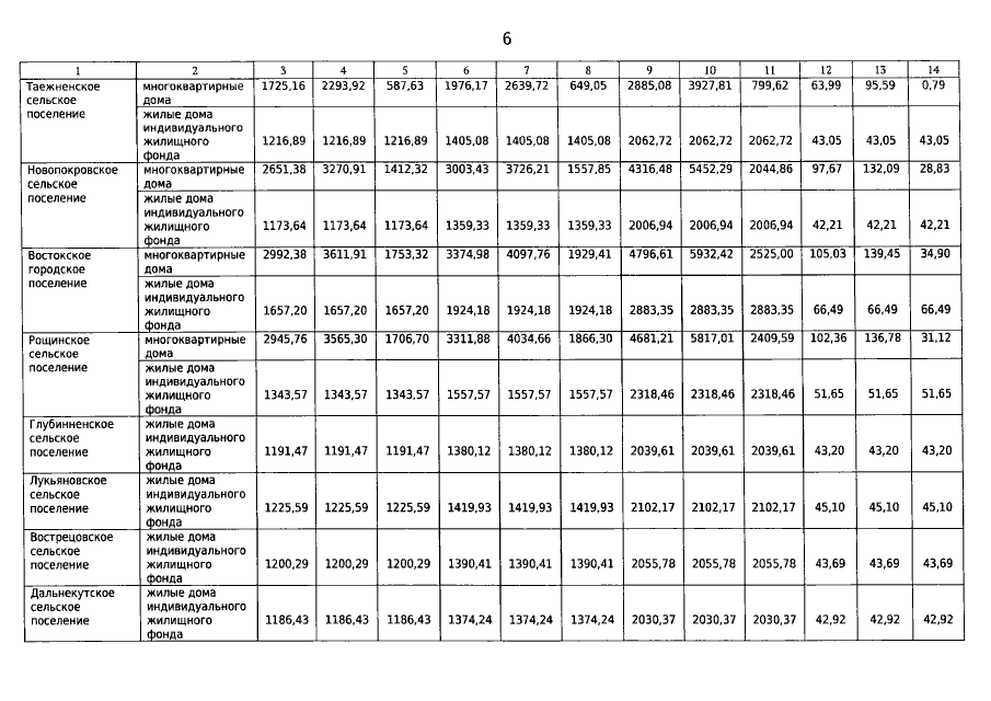
Постановление Правительства Приморского края от 21.02.2023 № 115-пп
"О региональных стандартах стоимости жилищно- коммунальных услуг на 2023 год"
Номер опубликования: 2501202302220004
Дата опубликования: 22.02.2023
Страница №30 из 39:
Увеличить