Официальное опубликование правовых актов
ОФИЦИАЛЬНОЕ ОПУБЛИКОВАНИЕ
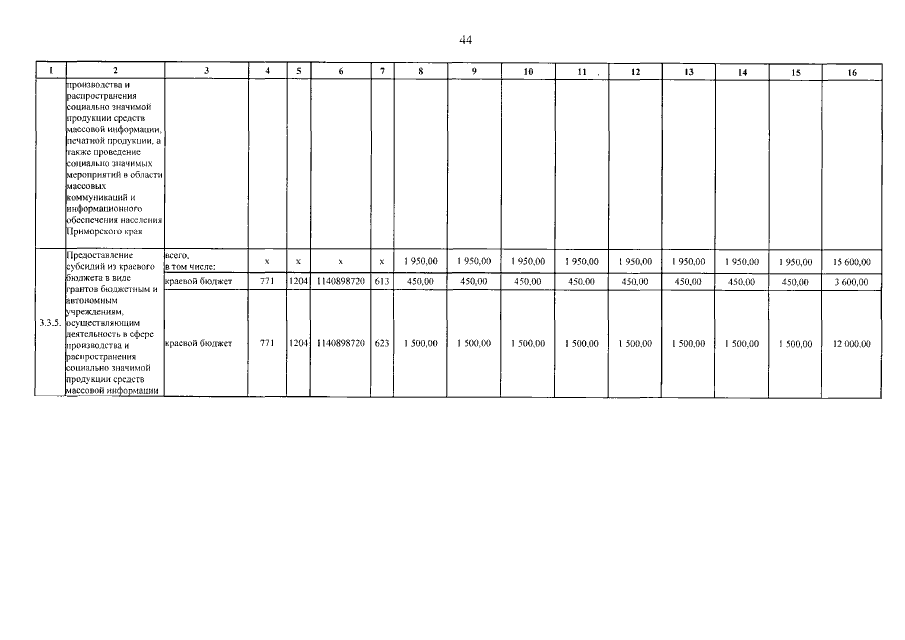
Постановление Правительства Приморского края от 29.12.2022 № 934-пп
"О внесении изменений в постановление Администрации Приморского края от 2 июля 2019 года № 418-па "Об утверждении государственной программы Приморского края "Информационное общество" на 2020 - 2027 годы"
Номер опубликования: 2501202301040015
Дата опубликования: 04.01.2023
Страница №63 из 83:
Увеличить