Официальное опубликование правовых актов
ОФИЦИАЛЬНОЕ ОПУБЛИКОВАНИЕ
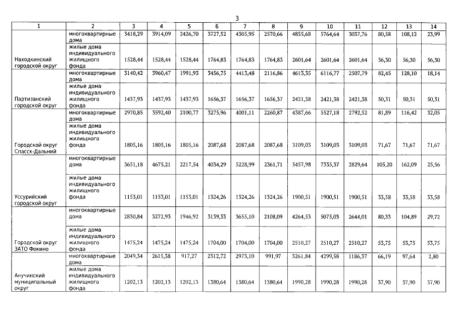
Постановление Правительства Приморского края от 30.12.2022 № 941-пп
"О внесении изменений в постановление Правительства Приморского края от 1 апреля 2022 года № 193-пп "О региональных стандартах стоимости жилищно­-коммунальных услуг на 2022 год"
Номер опубликования: 2501202301040004
Дата опубликования: 04.01.2023
Страница №14 из 49:
Увеличить