Официальное опубликование правовых актов
ОФИЦИАЛЬНОЕ ОПУБЛИКОВАНИЕ
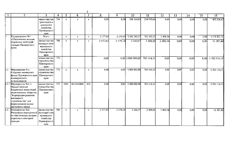
Постановление Правительства Приморского края от 28.12.2022 № 918-пп
"О внесении изменений в постановление Администрации Приморского края от 30 декабря 2019 года № 945-па "Об утверждении государственной программы Приморского края "Обеспечение доступным жильем и качественными услугами жилищно-коммунального хозяйства населения Приморского края" на 2020 - 2027 годы"
Номер опубликования: 2501202212300020
Дата опубликования: 30.12.2022
Страница №58 из 227:
Увеличить