Официальное опубликование правовых актов
ОФИЦИАЛЬНОЕ ОПУБЛИКОВАНИЕ
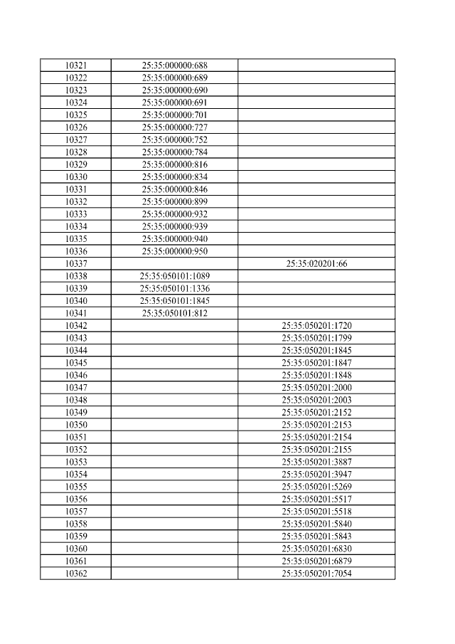
Распоряжение Министерства имущественных и земельных отношений Приморского края от 29.12.2022 № 931-ри
"Об утверждении Перечня объектов недвижимого имущества, в отношении которых налоговая база определяется как кадастровая стоимость, на 2023 год"
Номер опубликования: 2501202212300005
Дата опубликования: 30.12.2022
Страница №250 из 258:
Увеличить