Официальное опубликование правовых актов
ОФИЦИАЛЬНОЕ ОПУБЛИКОВАНИЕ
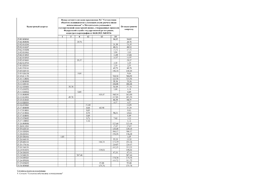
Постановление Министерства имущественных и земельных отношений Приморского края от 28.12.2022 № 108-п
"Об утверждении среднего уровня кадастровой стоимости объектов недвижимости, расположенных на территории Приморского края"
Номер опубликования: 2501202212290012
Дата опубликования: 29.12.2022
Страница №102 из 104:
Увеличить