Официальное опубликование правовых актов
ОФИЦИАЛЬНОЕ ОПУБЛИКОВАНИЕ
Постановление Правительства Приморского края от 22.12.2022 № 896-пп
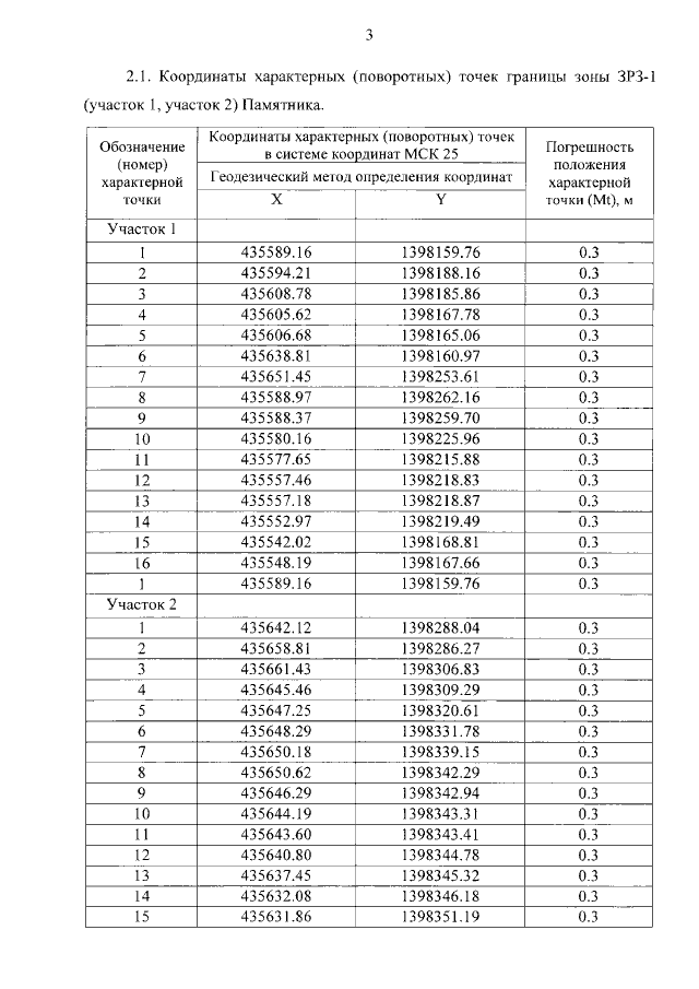
"Об установлении зон охраны объекта культурного наследия (памятника истории и культуры) народов Российской Федерации регионального значения "Здание первой городской больницы", начало ХХ в., утверждении требований к градостроительным регламентам в границах территорий данных зон"
Номер опубликования: 2501202212260008
Дата опубликования: 26.12.2022
Страница №5 из 20:
Увеличить