Официальное опубликование правовых актов
ОФИЦИАЛЬНОЕ ОПУБЛИКОВАНИЕ
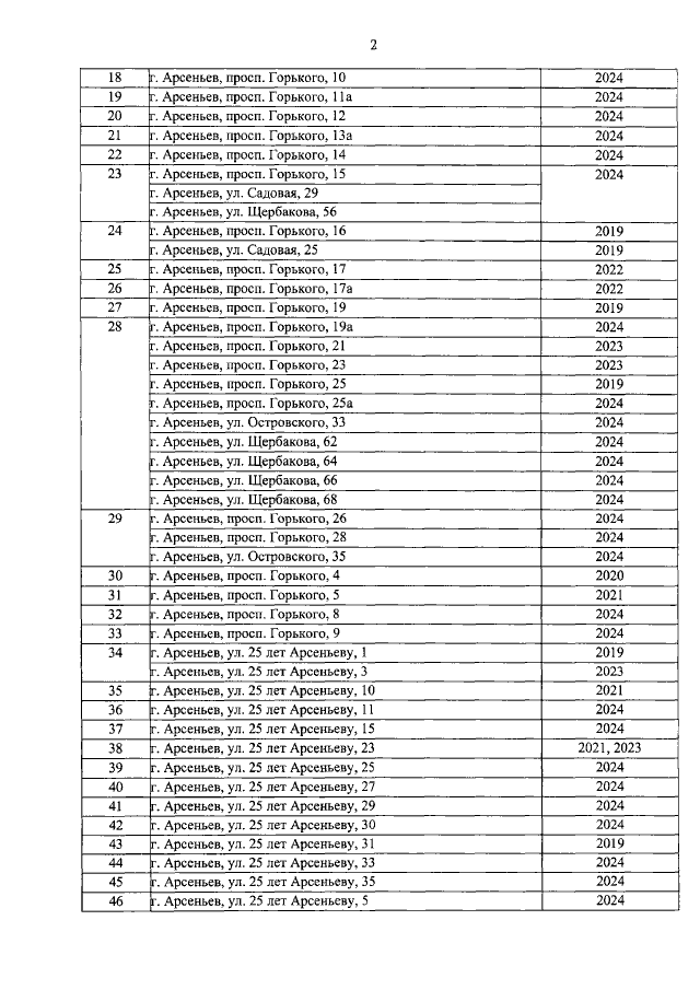
Постановление Правительства Приморского края от 21.12.2022 № 892-пп
"О внесении изменений в постановление Администрации Приморского края от 30 декабря 2019 года № 944-па "Об утверждении государственной программы Приморского края "Формирование современной городской среды муниципальных образований Приморского края" на 2020 – 2027 годы"
Номер опубликования: 2501202212230004
Дата опубликования: 23.12.2022
Страница №7 из 289:
Увеличить