Официальное опубликование правовых актов
ОФИЦИАЛЬНОЕ ОПУБЛИКОВАНИЕ
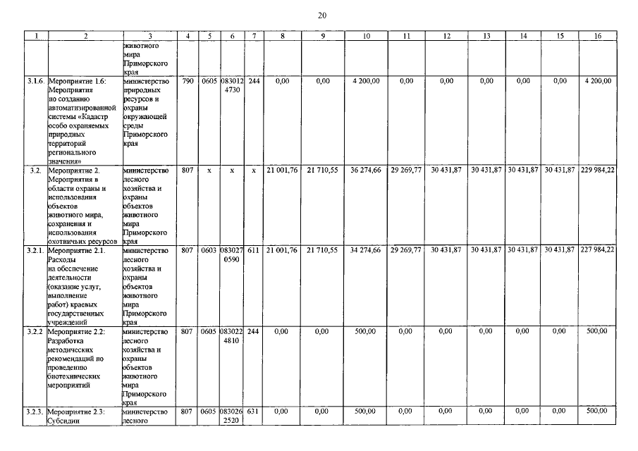
Постановление Правительства Приморского края от 19.12.2022 № 873-пп
"О внесении изменений в постановление Администрации Приморского края от 27 декабря 2019 года № 940-па "Об утверждении государственной программы Приморского края "Охрана окружающей среды Приморского края" на 2020 - 2027 годы"
Номер опубликования: 2501202212200008
Дата опубликования: 20.12.2022
Страница №23 из 73:
Увеличить